1. 领域背景与文献
文献英文标题:Soluble immune checkpoints as diagnostic biomarkers in bladder cancer;发表期刊:Biomarker Research;影响因子:未公开;研究领域:泌尿系统肿瘤生物标志物(膀胱癌诊断方向)。
领域共识:膀胱癌是全球范围内常见的泌尿系统恶性肿瘤,具有高复发率的临床特征,患者需要终身随访监测,导致临床管理成本高昂,延迟诊断会使疾病进展至晚期,显著增加患者死亡率。当前膀胱癌的临床诊断金标准为膀胱镜检查,但该方法具有侵入性,患者接受度低,且重复检查会给患者带来心理负担,同时增加医疗系统的经济压力;非侵入性的尿脱落细胞学检测灵敏度较低,尤其对低级别肿瘤的识别能力不足;现有获批的尿液生物标志物如核基质蛋白22(NMP22)、膀胱肿瘤抗原(BTA)、UroVysion检测等仅能发挥辅助诊断作用,无法替代膀胱镜,因此开发高准确性的非侵入性诊断方法是膀胱癌领域的核心临床需求。
在免疫调控领域,除经典的细胞毒性T淋巴细胞相关蛋白4(CTLA-4)、程序性细胞死亡蛋白1(PD-1)/程序性死亡配体1(PD-L1)外,新型免疫检查点如T细胞免疫球蛋白黏蛋白分子3(TIM-3)、半乳糖凝集素9(Gal-9)、B和T淋巴细胞衰减因子(BTLA)、疱疹病毒进入介质(HVEM)、分化簇160(CD160)、淋巴细胞激活基因3(LAG-3)已被证实参与肿瘤免疫逃逸过程,其可溶性形式可存在于外周血中,具备作为无创生物标志物的潜力,但既往研究尚未系统评估这些新型可溶性免疫检查点在膀胱癌早期诊断中的应用价值。本研究针对这一研究空白,探索上述6种可溶性免疫检查点作为膀胱癌早期无创诊断标志物的可行性,为膀胱癌的临床诊断提供新的候选方案。
2. 文献综述解析
作者的文献评述围绕“临床诊断痛点-现有技术局限-新型分子潜力”的逻辑展开,首先梳理膀胱癌临床诊断的未满足需求,再分类总结免疫检查点领域的研究进展,进而引出本研究的科学问题。
现有研究已证实膀胱癌的高复发率和长期监测需求是临床管理的核心负担,膀胱镜作为金标准的侵入性缺陷和尿细胞学的灵敏度不足是公认的诊断瓶颈;在免疫检查点领域,现有研究明确了新型免疫检查点在T细胞耗竭和肿瘤免疫逃逸中的核心调控作用,可溶性免疫检查点的检测技术成熟,可通过血清实现微创检测,适合大规模筛查应用。现有诊断方法的优势在于膀胱镜的诊断准确性高,尿液相关检测的侵入性低,可辅助分流患者;但局限性也十分突出:膀胱镜的有创性限制了其在人群筛查和高频随访中的应用,现有尿液生物标志物的准确性不足以支撑独立诊断,且既往可溶性免疫检查点的研究多集中于肿瘤预后评估和免疫治疗反应预测,缺乏针对膀胱癌早期诊断的系统性筛选。
本研究的创新价值在于首次同时评估6种新型可溶性免疫检查点在膀胱癌中的诊断潜力,明确了以可溶性半乳糖凝集素9为核心的诊断标志物组合,填补了该领域的研究空白,为膀胱癌非侵入性诊断提供了新的技术方向,相关结果可有效降低临床对膀胱镜的依赖,提升患者随访的依从性。
3. 研究思路总结与详细解析
本研究的核心目标是评估6种新型可溶性免疫检查点对膀胱癌的诊断价值,核心科学问题为可溶性免疫检查点在膀胱癌患者血清中是否存在特异性升高,其表达水平是否受临床病理特征影响,以及联合多个分子是否可提升诊断效能;整体技术路线遵循“临床样本收集→分子定量检测→关联分析→效能评估→机制验证”的闭环逻辑,首先纳入膀胱癌患者和健康对照的血清样本,定量检测目标分子的表达水平,分析临床特征对表达的影响,随后通过受试者工作特征(ROC)曲线评估诊断效能并构建联合模型,最后通过相关性分析验证分子表达模式的生物学合理性。
3.1 血清可溶性免疫检查点定量检测
实验目的为明确6种新型可溶性免疫检查点在膀胱癌患者和健康对照血清中的表达差异,筛选潜在的诊断标志物。方法细节:纳入膀胱癌患者和健康对照队列,采集外周血并分离血清,对可溶性T细胞免疫球蛋白黏蛋白分子3、可溶性半乳糖凝集素9、可溶性B和T淋巴细胞衰减因子、可溶性疱疹病毒进入介质、可溶性分化簇160、可溶性淋巴细胞激活基因3的浓度进行定量检测,同时收集受试者的年龄、性别、体重指数(BMI),以及患者的肿瘤分期、分级等临床病理信息;原文未明确具体检测方法,领域常规使用酶联免疫吸附实验(ELISA)或液相芯片检测技术实现可溶性蛋白的精确定量。
结果解读:对应文献中的小提琴图(图1),统计结果显示与健康对照相比,膀胱癌患者血清中可溶性T细胞免疫球蛋白黏蛋白分子3、可溶性半乳糖凝集素9、可溶性B和T淋巴细胞衰减因子的表达水平分别上调约1.6倍、4.4倍、2倍(均P<0.0001);可溶性疱疹病毒进入介质、可溶性分化簇160、可溶性淋巴细胞激活基因3的表达水平在两组间无显著差异。进一步分析显示,年龄、性别、体重指数对可溶性免疫检查点的表达影响极小:体重指数与所有目标分子的表达无显著关联;在合并队列中年龄与可溶性T细胞免疫球蛋白黏蛋白分子3、可溶性半乳糖凝集素9、可溶性B和T淋巴细胞衰减因子的表达存在相关性,但对膀胱癌组和健康对照组分别分析时相关性消失,提示该相关性由疾病状态而非年龄本身导致;健康对照女性的可溶性半乳糖凝集素9水平略低于男性,但该差异不影响临床诊断的解读。
产品关联:文献未提及具体实验产品,领域常规使用可溶性免疫检查点定量检测酶联免疫吸附实验试剂盒、多因子液相蛋白芯片检测系统。

3.2 标志物表达与肿瘤临床特征的关联分析
实验目的为验证差异表达的可溶性免疫检查点是否与肿瘤的进展程度相关,明确其临床应用场景(诊断或预后)。方法细节:将膀胱癌患者按肿瘤分期(pTa、pT1、pT2)、组织学分级(G1、G2、G3,以及低级别、高级别)进行分层,比较不同分层组间可溶性T细胞免疫球蛋白黏蛋白分子3、可溶性半乳糖凝集素9、可溶性B和T淋巴细胞衰减因子的表达水平差异,分析分子表达与肿瘤进展的相关性。
结果解读:图1的分层分析结果显示,可溶性T细胞免疫球蛋白黏蛋白分子3、可溶性半乳糖凝集素9、可溶性B和T淋巴细胞衰减因子在不同肿瘤分期和分级的患者中均持续高于健康对照,但表达水平不随肿瘤分期升高、分级升高出现显著变化,提示上述分子仅可区分膀胱癌患者与健康人群,无法区分肿瘤内部的异质性,因此仅具备诊断价值,不适用于预后评估。
3.3 诊断效能评估与联合模型构建
实验目的为量化单个可溶性免疫检查点的诊断准确性,构建多分子联合诊断模型以优化诊断性能。方法细节:采用受试者工作特征曲线分析单个分子的诊断效能,计算曲线下面积(AUC)、最佳临界值、灵敏度、特异度等指标;通过多因素logistic回归将可溶性半乳糖凝集素9、可溶性T细胞免疫球蛋白黏蛋白分子3、可溶性B和T淋巴细胞衰减因子纳入联合诊断模型,采用5折交叉验证评估模型的稳定性和诊断效能。
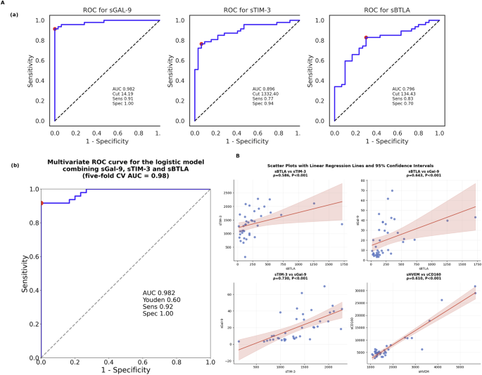
结果解读:对应文献中的受试者工作特征曲线(图2A),单个标志物中可溶性半乳糖凝集素9的诊断性能最佳,曲线下面积为0.98,灵敏度为91%,特异度为100%;纳入性别作为协变量后,可溶性半乳糖凝集素9的曲线下面积可提升至0.994(P=0.039),最佳临界值为14.2pg/mL,但未校正的可溶性半乳糖凝集素9检测临床应用更简便,更适合推广。可溶性T细胞免疫球蛋白黏蛋白分子3的诊断性能次之,曲线下面积为0.91,灵敏度为77%,特异度为96%,最佳临界值为1332pg/mL;可溶性B和T淋巴细胞衰减因子的诊断性能中等,曲线下面积为0.78,灵敏度为83%,特异度为65%,最佳临界值为134.4pg/mL;可溶性淋巴细胞激活基因3的曲线下面积约为0.66,可溶性疱疹病毒进入介质和可溶性分化簇160的曲线下面积≤0.55,无临床诊断价值。多因素联合模型的5折交叉验证曲线下面积为0.982,在最优临界值下灵敏度为92%,特异度为100%;模型中仅可溶性半乳糖凝集素9为独立预测因素(β=6.7±2.5,P=0.007),可溶性T细胞免疫球蛋白黏蛋白分子3和可溶性B和T淋巴细胞衰减因子无独立统计学意义,进一步证实可溶性半乳糖凝集素9在诊断中的核心地位。
产品关联:文献未提及具体实验产品,领域常规使用统计分析软件(如R、SPSS)进行受试者工作特征分析和回归模型构建。

3.4 可溶性免疫检查点的表达相关性分析
实验目的为分析6种可溶性免疫检查点之间的表达相关性,探索其表达模式是否符合已知的免疫调控机制,验证结果的生物学合理性。方法细节:采用Spearman秩相关分析所有可溶性免疫检查点的两两表达相关性,筛选具有统计学意义(P<0.05)的相关对,结合已报道的受体-配体相互作用关系、T细胞耗竭的分子特征对相关模式进行解读。
结果解读:对应文献中的相关性散点图(图2B),分析结果显示血清中可溶性免疫检查点的表达存在两个独立的功能聚类:第一个聚类以可溶性T细胞免疫球蛋白黏蛋白分子3为核心,与可溶性半乳糖凝集素9呈强正相关(相关系数ρ=0.73,P<0.001),与可溶性B和T淋巴细胞衰减因子呈中等正相关(ρ=0.59,P<0.001),可溶性B和T淋巴细胞衰减因子与可溶性半乳糖凝集素9也呈中等正相关(ρ=0.64,P<0.001),且上述三个分子均与可溶性淋巴细胞激活基因3存在弱正相关;第二个聚类为可溶性疱疹病毒进入介质和可溶性分化簇160,呈紧密正相关(ρ=0.61,P<0.001)。该表达模式与已知的免疫调控机制高度一致:T细胞免疫球蛋白黏蛋白分子3与半乳糖凝集素9是经典的受体-配体对,疱疹病毒进入介质与分化簇160存在配体-受体相互作用,B和T淋巴细胞衰减因子和淋巴细胞激活基因3表达于T细胞耗竭的中间阶段,淋巴细胞激活基因3和T细胞免疫球蛋白黏蛋白分子3则共表达于T细胞耗竭的终末阶段,提示血清中这些可溶性免疫检查点的水平可能反映了肿瘤浸润淋巴细胞耗竭过程中的胞外脱落过程,进一步验证了研究结果的生物学合理性。
4. Biomarker研究及发现成果
本研究筛选获得的核心Biomarker为血清可溶性半乳糖凝集素9、可溶性T细胞免疫球蛋白黏蛋白分子3、可溶性B和T淋巴细胞衰减因子,属于可溶性蛋白类诊断标志物,筛选验证逻辑为“基于免疫调控机制提出假设→临床血清样本定量筛选→临床病理特征关联验证→诊断效能量化评估→分子网络合理性验证”,整体逻辑链条完整,结果可信度高。
上述Biomarker的检测样本为外周血血清,属于微创检测样本,适合临床常规采集。验证过程中,可溶性半乳糖凝集素9的诊断特异度为100%,灵敏度为91%,曲线下面积为0.98;可溶性T细胞免疫球蛋白黏蛋白分子3的诊断特异度为96%,灵敏度为77%,曲线下面积为0.91;可溶性B和T淋巴细胞衰减因子的诊断特异度为65%,灵敏度为83%,曲线下面积为0.78;三者联合模型的交叉验证曲线下面积为0.982,灵敏度92%,特异度100%。分子表达不受年龄、性别、体重指数和肿瘤分期、分级的影响,检测结果的稳定性较高。
本研究首次系统证实可溶性半乳糖凝集素9、可溶性T细胞免疫球蛋白黏蛋白分子3、可溶性B和T淋巴细胞衰减因子可作为膀胱癌的早期诊断血清标志物,其核心价值在于仅通过血清检测即可区分膀胱癌患者与健康人群,无需进行侵入性膀胱镜检查,且对各分期、分级的膀胱癌均有识别能力,适合早期筛查场景。其中可溶性半乳糖凝集素9是性能最优的独立诊断标志物,联合另外两种分子可进一步提升诊断的稳定性。统计学结果显示,三种分子在膀胱癌患者中的表达上调均具有显著统计学意义(P<0.0001),联合模型中可溶性半乳糖凝集素9的独立预测作用P=0.007,分子间相关性的P值均<0.001。需要注意的是,上述标志物不具备膀胱癌特异性,其表达升高可能也见于其他炎症性疾病或恶性肿瘤,因此后续需要在独立临床队列、其他泌尿系统疾病队列以及其他肿瘤队列中进一步验证其诊断特异性,才能推进临床转化。
