1. 领域背景与文献引入
文献英文标题:A radiomics-based model on non-contrast CT for predicting cirrhosis: make the most of image data;发表期刊:Biomarker Research;影响因子:未公开;研究领域:慢性乙型肝炎相关肝硬化的非侵入性诊断。
慢性乙型肝炎(CHB)是全球重大公共卫生问题,据世界卫生组织(WHO)报道,全球约2.4亿CHB感染者,每年约65万人死于CHB相关并发症,其中肝硬化是CHB进展的主要不良结局之一,显著增加肝细胞癌风险及死亡风险。在中国,CHB流行率高,约7400万乙肝表面抗原(HBsAg)携带者,肝硬化的早期诊断对干预治疗、改善预后至关重要。现有肝硬化诊断方法存在明显局限性:肝活检是纤维化分期的金标准,但具有侵入性、费用高,且存在取样误差(如仅获取肝组织的极小部分,可能遗漏纤维化区域);血清学指标如天冬氨酸转氨酶与血小板比值指数(APRI)、纤维化-4指数(FIB-4)虽简便,但准确性受肝功能波动影响,对早期肝硬化的判别能力有限;弹性成像技术(如瞬时弹性成像(TE)、磁共振弹性成像(MRE))虽无创且准确性高,但设备成本昂贵,难以在基层医疗机构普及。非增强计算机断层扫描(CT)是中国CHB患者常规筛查手段,因成本较低、普及性高被广泛接受,但传统CT图像的视觉评估(如观察肝表面结节、边缘变钝等)对肝硬化的诊断准确性有限(文中报道其准确率仅77.6%,敏感性62.5%),缺乏基于非增强CT图像的量化分析方法。针对这一临床需求,本研究旨在利用放射组学技术,从非增强CT图像中提取量化特征,结合临床指标建立肝硬化预测模型,为CHB患者的肝硬化诊断提供无创、准确的工具。
2. 文献综述解析
作者对现有肝硬化非侵入性诊断方法的研究进行了系统梳理,主要分为三类:第一类是血清学指标(如APRI、FIB-4),其优势在于检测简便、成本低,但局限性是依赖肝功能和血常规参数,易受炎症活动影响,对肝硬化的判别能力不足(文中提到FIB-4在训练组的受试者工作特征曲线下面积(AUC)仅0.664);第二类是弹性成像技术(如TE、MRE),其优势是无创、能直接反映肝硬度,对纤维化分期的准确性高,但局限性是设备价格昂贵,未在临床广泛普及;第三类是影像学量化分析,包括磁共振成像(MRI)放射组学和CT深度学习:MRI放射组学研究已证实其对肝纤维化的预测价值,但MRI检查成本高于CT,普及度有限;CT深度学习研究(如门脉期CT图像的深度学习模型)虽取得一定成果,但针对非增强CT的研究甚少,且未结合临床指标优化模型。
作者进一步指出,现有研究的核心不足在于:缺乏基于非增强CT(临床最易获取的影像学数据)的放射组学分析,且未充分整合临床指标以提升模型的临床实用性。本研究的创新点在于:首次利用非增强CT图像提取放射组学特征,通过特征筛选构建放射组学签名,并整合独立临床预测因子(丙氨酸转氨酶(ALT)、天冬氨酸转氨酶(AST)、球蛋白(GLOB)、国际标准化比值(INR))建立列线图模型,同时在训练和验证队列中系统验证模型性能,填补了非增强CT放射组学在肝硬化诊断中的应用空白。
3. 研究思路总结与详细解析
本研究采用“队列建立-图像分析-特征筛选-模型构建-性能验证”的闭环研究思路,核心目标是建立并验证基于非增强CT放射组学结合临床指标的肝硬化预测模型,解决非增强CT图像量化分析不足的问题。
3.1 患者队列建立与基线特征分析
实验目的是构建具有可比性的训练和验证队列,确保模型的泛化能力。方法细节:回顾性纳入2018年1月至2019年12月在南京鼓楼医院就诊的632例HBV感染者,排除缺乏肝纤维化病理记录、CT图像厚度不符合(非1.5mm)、CT与活检间隔超过3个月、图像质量差、合并其他病毒感染(如丙型肝炎病毒(HCV)、丁型肝炎病毒(HDV)、人类免疫缺陷病毒(HIV))、肝占位性病变、大量饮酒(>20g/天)及临床数据不全的患者,最终纳入294例患者。根据活检日期,2018年的144例为训练队列,2019年的150例为验证队列。结果解读:训练队列与验证队列的基线特征(如年龄、性别、肝功能指标、肝硬化率)无显著差异(训练队列肝硬化率43.8%(63/144),验证队列38.0%(57/150),P=0.34),确保了队列的可比性。患者筛选流程见图1。

产品关联:文献未提及具体实验产品,领域常规使用GE Healthcare的CT扫描仪(如Lightspeed、VCT、Discovery HD 750)进行图像采集。
3.2 CT图像获取与感兴趣区域分割
实验目的是获取标准化CT图像并勾画肝组织的感兴趣区域(ROI),为放射组学特征提取奠定基础。方法细节:所有患者采用相同型号CT扫描仪进行仰卧位扫描,扫描参数统一(管电压120kVp,管电流250-350mA,层厚5mm,重建层厚1.25mm,螺距1.375)。由两位具有5年以上经验的放射科医生,在右门静脉水平的非增强CT图像上,沿肝右叶边缘勾画ROI,排除大血管及肝外组织。为评估特征的重复性,随机选取50例患者,由一位医生重复分割ROI(间隔1周),另一位医生独立分割,计算组内和组间相关系数(ICC)。结果解读:ROI的平均面积为47±15cm²,828个初始放射组学特征中,85个特征的组内和组间ICC均>0.8(达到预设的重复性阈值),保留用于后续分析。研究 workflow 见图2。

产品关联:使用3D Slicer软件(版本4.8.0)进行ROI分割,Pyradiomics包提取放射组学特征。
3.3 放射组学特征筛选与签名构建
实验目的是从高重复性特征中筛选出与肝硬化相关的核心特征,构建放射组学签名。方法细节:首先对85个高重复性特征进行z-score标准化(基于训练队列的均值和标准差),然后采用最小绝对收缩和选择算子(LASSO)逻辑回归算法(10折交叉验证调整惩罚参数)筛选具有非零系数的特征,最终保留25个肝硬化相关特征。使用支持向量机(SVM)算法基于这25个特征构建放射组学签名。结果解读:训练队列中,63例肝硬化患者的放射组学签名得分均值为0.279,81例非肝硬化患者为-0.649(P<0.001);验证队列中,57例肝硬化患者均值为0.141,93例非肝硬化患者为-0.585(P<0.001),表明放射组学签名能有效区分肝硬化与非肝硬化患者。LASSO特征筛选结果见图3。

3.4 临床因素筛选与列线图建立
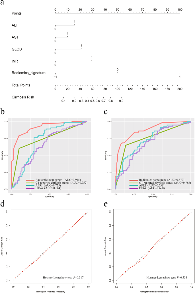
实验目的是整合临床指标优化模型,提升其临床实用性。方法细节:首先通过Spearman相关分析筛选与肝硬化相关的临床因素(包括血常规、肝功能、血脂、凝血功能等20余项指标),然后采用多变量条件逻辑回归分析确定独立预测因子。结果显示,ALT(>25.9U/L)、AST(>32.6U/L)、GLOB(>33.9g/L)、INR(>1.10)是肝硬化的独立临床预测因子。进一步采用多变量逻辑回归分析,将放射组学签名与这4项临床指标整合,建立列线图模型,公式为:Y=0.734×ALT(1=>25.9U/L,0=≤25.9U/L) + 0.468×AST(1=>32.6U/L,0=≤32.6U/L) + 1.385×GLOB(1=>33.9g/L,0=≤33.9g/L) + 2.372×放射组学签名 - 0.454。结果解读:列线图模型在训练队列的AUC为0.915(95%置信区间(CI)0.869-0.961),验证队列的AUC为0.872(95%CI 0.814-0.930),显著优于单独放射组学签名(训练组AUC 0.879)或临床指标(如ALT的AUC 0.72)。列线图与ROC曲线见图4。

3.5 模型性能验证
实验目的是系统评估模型的判别能力、校准度和临床获益。方法细节:采用ROC曲线评估判别能力(AUC值),校准曲线结合Hosmer-Lemeshow检验评估预测值与实际值的一致性,决策曲线分析(DCA)评估模型的临床获益(净获益)。结果解读:ROC曲线显示,列线图模型的判别能力显著优于传统CT视觉评估(训练组AUC 0.752 vs 0.915,P<0.001)、APRI(0.752)和FIB-4(0.664);校准曲线显示,训练组和验证组的预测值与实际肝硬化发生率一致性良好(Hosmer-Lemeshow检验P值分别为0.317和0.534);DCA显示,列线图模型在广泛的阈值概率范围内(0.1-0.8)的净获益显著高于其他方法,表明其能为临床决策提供更多价值。决策曲线分析结果见图5。

4. Biomarker研究及发现成果解析
4.1 Biomarker定位与筛选逻辑
本研究的Biomarker是“放射组学签名+临床指标”的整合模型,其中放射组学签名由25个非增强CT图像的量化特征组成(包括一阶统计、纹理和小波变换特征),临床指标包括ALT、AST、GLOB、INR(均为临床易获取的血清学指标)。筛选与验证逻辑遵循“特征重复性筛选-疾病相关性筛选-模型整合-性能验证”的闭环:首先通过组内和组间ICC筛选高重复性放射组学特征(85个),再通过LASSO逻辑回归筛选肝硬化相关特征(25个),用支持向量机构建放射组学签名;同时通过Spearman相关分析和多变量回归筛选与肝硬化相关的独立临床指标(4个);最后将放射组学签名与临床指标整合,建立列线图模型,并在训练(n=144)和验证(n=150)队列中验证性能。
4.2 研究过程与性能数据
放射组学特征来源于非增强CT图像的肝ROI(由两位放射科医生勾画,确保重复性),临床指标来源于患者血清检测(ALT、AST、GLOB为肝功能指标,INR为凝血功能指标,均为临床常规检测项目)。验证数据显示:(1)判别能力:训练队列AUC为0.915(95%CI 0.869-0.961),验证队列0.872(95%CI 0.814-0.930);(2)校准度:训练组Hosmer-Lemeshow检验P=0.317,验证组P=0.534,表明预测值与实际值一致性良好;(3)临床获益:DCA显示,当阈值概率为0.2-0.7时,列线图模型的净获益比传统CT评估高0.1-0.2,比APRI高0.15-0.25,比FIB-4高0.2-0.3。
4.3 核心成果与创新性
本研究的核心成果是建立了基于非增强CT放射组学结合临床指标的肝硬化预测列线图,其创新性体现在三个方面:(1)技术创新:首次将放射组学技术应用于非增强CT图像,提取量化特征并构建签名,解决了非增强CT图像量化分析不足的问题;(2)模型创新:整合了临床易获取的肝功能和凝血指标,提升了模型的临床实用性,避免了依赖复杂设备或检测;(3)性能创新:系统验证了模型的判别、校准和临床获益,证明其性能显著优于现有方法(如传统CT视觉评估、APRI、FIB-4)。
该模型的临床价值在于,为CHB患者提供了无创、准确的肝硬化诊断工具,尤其适用于基层医疗机构或无法进行弹性成像、肝活检的患者,有助于早期识别肝硬化高风险患者,及时启动抗病毒或抗纤维化治疗,改善预后。
