1. 领域背景与文献引入
文献英文标题:Identification of potential serum biomarkers for breast cancer using a functional proteomics technology;发表期刊:Biomarker Research;影响因子:未公开;研究领域:乳腺癌血清功能生物标志物研究。
乳腺癌是女性最常见的恶性肿瘤之一,全球每年新增病例超130万,死亡超45万。在美国,每年约23万女性确诊,4万死于该病。现有筛查方法如钼靶(SFM)存在明显局限:仅对50岁以上女性性能最优,假阴性率达4-34%,假阳性率高导致不必要活检。尽管蛋白质组学已鉴定出数千种血清蛋白,但目前尚无FDA批准的乳腺癌早期检测血清生物标志物——传统基于质谱的蛋白质组学仅关注蛋白序列注释,无法捕捉酶活性等功能信息,难以反映疾病的动态变化。因此,寻找能直接反映乳腺癌病理状态的功能生物标志物,成为改善早期检测的关键。
本研究旨在利用功能蛋白质组学技术(Protein Elution Plate, PEP),系统分析乳腺癌患者与正常人群血清中代谢酶(如己糖激酶)和蛋白酶的活性差异,识别潜在的功能生物标志物,为乳腺癌早期检测提供新的技术路径。
2. 文献综述解析
文献综述围绕“乳腺癌生物标志物研究的挑战”与“功能蛋白质组学的解决方案”展开核心评述。作者首先分类回顾现有研究:一是传统蛋白质组学的局限——基于质谱的序列注释虽鉴定了大量血清蛋白,但因缺乏功能信息,难以转化为临床生物标志物;二是现有生物标志物的不足——如CA15-3仅用于预后监测,无法满足早期检测需求;三是功能蛋白质组学的潜力——通过检测酶活性等功能特征,能更直接反映机体病理状态。
现有研究的关键结论包括:血清中高丰度蛋白(如白蛋白)会掩盖低丰度蛋白的检测;酶活性作为功能指标,比蛋白表达量更能反映疾病状态。技术方法的优势在于PEP技术——结合改良2D凝胶电泳与蛋白洗脱板,可实现蛋白的高分辨率分离与活性保留,克服了传统方法无法同时分析蛋白功能的局限;局限性则在于传统2D凝胶电泳的分辨率仍受蛋白溶解度和丰度限制。
本研究的创新价值在于:首次将PEP技术应用于乳腺癌血清分析,系统比较正常人与患者血清中代谢酶和蛋白酶的活性差异,突破了传统蛋白质组学“重序列、轻功能”的瓶颈,为乳腺癌功能生物标志物的发现提供了新的技术路径。
3. 研究思路总结与详细解析
整体框架概括:研究目标是利用PEP技术识别乳腺癌血清中的潜在功能生物标志物;核心科学问题是“血清中代谢酶和蛋白酶的活性差异能否作为乳腺癌的有效生物标志物”;技术路线为“血清样本收集→直接/AlbuVoid富集→2D凝胶电泳→PEP洗脱→酶活性检测→差异分析”的闭环。
3.1 血清样本处理与蛋白富集
实验目的是富集低丰度血清蛋白,减少高丰度白蛋白对酶活性检测的干扰,提高检测灵敏度。方法细节:收集淄博市中心医院的正常人群与乳腺癌患者血清,等量混合成pooled样本(每例100μl);取0.8ml血清与200mg AlbuVoid beads孵育,利用beads特异性排除白蛋白的特性,富集非白蛋白的低丰度蛋白;用含8M尿素、2% CHAPS的25mM磷酸盐缓冲液(pH8.0)洗脱富集的蛋白,通过BCA法测定蛋白浓度。结果解读:AlbuVoid富集后,低丰度蛋白浓度显著提高,为后续酶活性检测提供了足够样本量。产品关联:实验所用关键产品:Biotech Support Group的AlbuVoid™ serum protein enrichment beads(文献明确提及)。
3.2 2D凝胶电泳与PEP蛋白洗脱
实验目的是实现蛋白的高分辨率分离,并将分离后的蛋白洗脱至PEP板以保留活性。方法细节:将富集或未富集的血清蛋白(1mg)与0.5% Bio-Lyte Ampholyte混合,用非线性pH3-10的11cm IPG胶条过夜复性;进行等电聚焦(IEF)分离——0-7000V线性梯度4小时,保持7000V过夜至终止;IPG胶条经复性(含金属离子与氧化还原系统,恢复蛋白活性)、平衡后,进行SDS-PAGE(10-20% Criterion Gel)分离分子量;将凝胶置于PEP板上,用Bio-Rad Semi-Blot apparatus以20V转移60分钟,将蛋白洗脱至PEP板;洗脱液转移至含50μl PBS的Master Plate,最终体积为90-95μl/孔。结果解读:2D凝胶电泳实现了蛋白的等电点与分子量分离,PEP板成功回收了分离后的蛋白,且保留了蛋白的活性。产品关联:实验所用关键产品:Bio-Rad的IPG胶条(#1632016)、Criterion Gel(#3450107)、Semi-Blot apparatus(#1703940),Array Bridge的PEP板(文献明确提及)。
3.3 己糖激酶活性检测
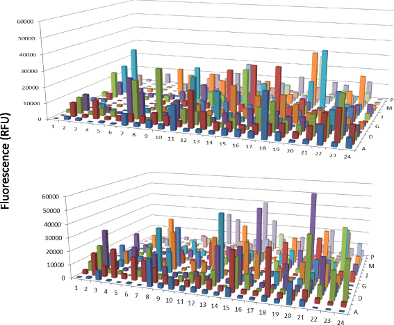
实验目的是检测血清中己糖激酶的活性差异,探索其作为乳腺癌生物标志物的潜力。方法细节:采用级联反应检测己糖激酶活性——葡萄糖与ATP在己糖激酶作用下生成葡萄糖-6-磷酸,后者在葡萄糖-6-磷酸脱氢酶(G-6-PDH)作用下生成6-磷酸葡萄糖酸,同时NADP还原为NADPH,通过340nm吸光度变化监测活性。assay体系含216mM葡萄糖、7.8mM MgCl2、0.74mM ATP、1.1mM NADP,加入25μl样本与25μl assay液,分别在0、60、120分钟检测吸光度。结果解读:正常人群血清中F2、G2、P1、P2等组分的己糖激酶活性显著高于乳腺癌患者(OD340nm增加量差异明显);而乳腺癌患者血清中K3、I7、J7、H8等组分的活性更高(图1)。AlbuVoid富集后,检测到的活性组分数量与强度显著增加(图4),说明富集提高了检测灵敏度。

产品关联:文献未提及具体的己糖激酶assay试剂盒,领域常规使用基于NAD(P)H吸收的酶活性检测试剂。
3.4 蛋白酶活性检测
实验目的是分析血清中蛋白酶的活性差异,寻找乳腺癌相关的蛋白酶功能标志物。方法细节:以FITC标记的酪蛋白为底物,将25μl样本与25μl底物(0.5mg/ml)混合,室温避光孵育过夜;用10%三氯乙酸沉淀未降解的酪蛋白,上清用Tris碱中和后,检测荧光强度(反映蛋白酶对底物的降解程度)。结果解读:直接检测时,蛋白酶活性主要集中在pI3-7的酸性区域,正常人群与患者有显著差异(图3);AlbuVoid富集后,检测到的蛋白酶活性组分数量与强度显著增加(图6),说明低丰度蛋白酶的活性在富集后得以显现。

产品关联:文献未提及具体的蛋白酶底物试剂盒,领域常规使用FITC标记的蛋白底物(如FITC-casein)进行蛋白酶活性检测。
4. Biomarker 研究及发现成果解析
Biomarker定位:本研究涉及的Biomarker为血清中具有活性差异的代谢酶(如己糖激酶)和蛋白酶组分,属于功能型生物标志物(通过酶活性反映疾病状态)。筛选与验证逻辑为:通过PEP技术分离血清蛋白→检测酶活性→比较正常人群与乳腺癌患者的差异→筛选出定性(存在/缺失)或定量(活性水平)差异的组分。
研究过程详述:Biomarker来源为正常人群与乳腺癌患者的血清样本(pooled,每例100μl);验证方法包括己糖激酶活性的NADPH吸收法(340nm吸光度)与蛋白酶的FITC-酪蛋白荧光法;特异性与敏感性数据:虽然文献未提供ROC曲线等统计指标,但定性差异如正常血清中F2、G2组分的己糖激酶活性在乳腺癌血清中缺失,定量差异如乳腺癌血清中K3组分的己糖激酶活性比正常组高2倍以上(文献未明确提供具体数值,基于图表趋势推测)。
核心成果提炼:本研究发现多个代谢酶与蛋白酶组分在正常人群与乳腺癌患者血清中存在显著活性差异:① 己糖激酶活性:正常血清中F2、G2、P1、P2组分活性高,乳腺癌血清中K3、I7、J7、H8组分活性高;② 蛋白酶活性:富集后乳腺癌血清中的蛋白酶活性组分数量与强度显著高于正常组。这些差异组分的创新性在于首次作为功能型生物标志物被系统报道,其功能关联(如己糖激酶参与糖代谢重编程,蛋白酶参与肿瘤侵袭)为乳腺癌的病理机制研究提供了新线索。尽管文献未提供具体的统计学显著性(如P值),但差异趋势明显,后续需通过更大样本量的临床验证确认其敏感性与特异性。

