1. 领域背景与文献引入
文献英文标题:Redefining prostate cancer risk stratification: a pioneering strategy to estimate outcome based on Ki67 immunoscoring;发表期刊:Biomarker Research;影响因子:未公开;研究领域:前列腺癌预后生物标志物与风险分层。
领域共识:前列腺癌是男性最常见的恶性肿瘤之一,近90%的患者确诊时处于局限期,其中低危和有利中危(分级组GG1/2)患者常被推荐采用主动监测策略,以避免过度治疗带来的不良反应。然而,主动监测并非完全无风险,部分患者会出现疾病进展,最终导致预后不良。当前临床实践中,主动监测患者的随访依赖频繁的前列腺活检,缺乏统一的监测指南,且现有预后评估工具难以精准区分进展风险低的患者和需要及时干预的患者。
生命科学领域针对前列腺癌风险分层的研究热点集中于寻找可预测复发和进展的生物标志物,其中Ki67作为细胞增殖标志物,在多种恶性肿瘤中已被证实与肿瘤侵袭性和预后相关,但在前列腺癌中尚未成为标准的预后检测指标;DNA甲基化标志物如GSTP1启动子甲基化已广泛用于前列腺癌的辅助诊断,但其预后价值有限,KLF8启动子甲基化的预后作用仍需深入探索。现有商业化基因组检测工具如Decipher®、Oncotype DX®、Prolaris®虽可用于预后预测,但存在对主动监测患者效能有限或成本高昂的局限性,难以在基层医疗机构广泛推广。目前领域内未解决的核心问题是缺乏低成本、易操作且精准的风险分层工具,以优化前列腺癌患者的临床决策,尤其是低危和中危患者的治疗选择。
本文正是针对这一研究空白,旨在结合常规临床病理参数与分子生物标志物,构建可有效预测前列腺癌患者预后的风险计算器,提升风险分层的准确性,为临床医生提供更可靠的决策依据,同时减少患者不必要的活检和过度治疗。
2. 文献综述解析
作者对现有研究的分类维度主要包括生物标志物类型(免疫组化标志物、DNA甲基化标志物)和临床应用场景(主动监测、预后预测),通过系统梳理不同标志物的效能和现有工具的局限性,明确本研究的创新方向。
现有研究中,免疫组化标志物方面,Ki67作为反映细胞增殖活性的指标,已在乳腺癌、肺癌等多种肿瘤中被证实可预测肿瘤的侵袭性、复发风险和患者生存期,但在前列腺癌领域,Ki67的应用尚未标准化,现有研究显示其与肿瘤分级、分期相关,但缺乏统一的评分标准和大规模的临床验证数据,导致其未能纳入常规临床实践。DNA甲基化标志物领域,GSTP1启动子甲基化是前列腺癌诊断中应用较为广泛的生物标志物,但其预后价值有限,仅能区分不同肿瘤分期的患者,无法有效预测复发风险;KLF8启动子甲基化的预后作用虽有初步报道,但相关研究样本量较小,尚未得到充分验证。
临床风险分层工具方面,现有商业化产品各有局限:Decipher®主要用于预测前列腺癌患者的不良病理结局,其曲线下面积(AUC)为0.65,但对主动监测患者的复发预测效能有限;Oncotype DX®的AUC为0.68,同样存在对低危患者预测准确性不足的问题;Prolaris®的复发预测AUC可达0.825,但检测成本高昂,难以在全球范围内广泛推广。
与现有研究相比,本研究的创新点在于首次将Ki67免疫评分与常规临床病理参数(年龄、肿瘤分期、前列腺特异性抗原PSA水平)结合,构建了低成本、易操作的风险计算器ProstARK,该模型在独立验证队列中显示出良好的预测效能,填补了领域内缺乏经济实用的精准风险分层工具的空白,为前列腺癌患者的个体化治疗决策提供了新的选择。
3. 研究思路总结与详细解析
本研究的整体框架为“生物标志物筛选与验证→风险模型构建→独立队列验证”的闭环,研究目标是构建可精准预测前列腺癌患者预后的风险计算器,核心科学问题是Ki67免疫评分、GSTP1和KLF8启动子甲基化是否能有效提升前列腺癌患者的风险分层准确性,技术路线清晰,从基础实验到临床验证,逐步验证生物标志物的预后价值和模型的临床应用潜力。
3.1 生物标志物检测与临床病理相关性分析
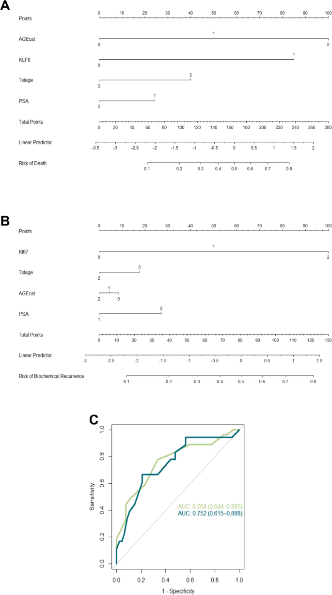
本环节的实验目的是验证Ki67免疫评分、GSTP1和KLF8启动子甲基化与前列腺癌临床病理参数及预后的相关性,为后续风险模型构建提供依据。方法细节上,研究人员采用免疫组化(IHC)检测前列腺切除组织中的Ki67免疫评分,以阳性染色细胞比例将评分分为0(<5%)、1(5-10%)、2(>10%)三个等级;采用甲基化检测技术分析GSTP1和KLF8启动子的甲基化水平,研究纳入的临床病理参数包括患者年龄、肿瘤分期、PSA水平、肿瘤分级组(GG),研究终点为总生存期(OS)和生化复发生存期(BCR)。结果解读显示,Ki67免疫评分与更高的肿瘤分期和分级组显著相关,证实了细胞增殖活性与肿瘤侵袭性的关联;高Ki67评分(评分1和2)的患者生化复发生存期显著短于低评分患者(文献未明确提供样本量和P值);GSTP1启动子甲基化仅在III期和II期患者间存在显著差异,未显示出明确的预后价值;KLF8启动子低甲基化与GG1/2患者更差的总生存期相关,但由于总生存期受患者年龄影响较大,这一结果的临床意义有限。文献未提及具体实验产品,领域常规使用免疫组化试剂盒、甲基化特异性PCR试剂盒等。
3.2 风险预测模型构建
本环节的实验目的是整合有预后价值的生物标志物和临床病理参数,构建可预测前列腺癌患者预后的风险计算器。方法细节上,研究人员基于发现队列的临床病理数据和生物标志物检测结果,采用Cox比例风险回归分析构建了两个风险预测模型:死亡风险模型和生化复发风险模型(ProstARK)。死亡风险模型纳入了年龄、KLF8甲基化状态、肿瘤分期和PSA水平;ProstARK模型则纳入了年龄、Ki67免疫评分、肿瘤分期和PSA水平,通过回归分析确定了各参数的权重,形成了量化的风险计算公式。结果解读显示,ProstARK模型的计算公式为:BCR风险 = -4.5509–0.1447年龄分组 + 1.6921Ki67评分 + 0.5982肿瘤分期 + 0.9164PSA水平,在发现队列的GG1/2患者中,该模型的ROC曲线下面积(AUC)>0.75,特异性为79.17%,敏感性为66.67%,阳性预测值为55%,阴性预测值为86%,整体准确性为75.76%,显示出良好的风险区分能力。

文献未提及具体实验产品,领域常规使用统计分析软件如R、SPSS等进行模型构建和数据分析。
3.3 模型独立队列验证
本环节的实验目的是在独立的临床队列中验证ProstARK模型的预后预测效能,模拟真实临床场景下的风险评估。方法细节上,研究人员选取了一组独立的前列腺诊断活检样本作为验证队列,应用ProstARK模型计算患者的生化复发风险,通过绘制ROC曲线和Kaplan-Meier生存曲线评估模型的效能。结果解读显示,在验证队列的GG1/2患者中,ProstARK模型的ROC曲线下面积(AUC)为0.723(95% CI 0.571–0.875),能显著区分低风险和高风险患者的生化复发生存期,其中低风险患者的复发概率更低,进一步验证了模型的临床应用价值。该模型的高阴性预测值(86%)提示其可有效识别适合主动监测的患者,减少不必要的前列腺活检,优化患者的随访策略。

文献未提及具体实验产品,领域常规使用免疫组化检测平台、病理图像分析软件等进行Ki67评分和病理评估。
4. Biomarker研究及发现成果解析
本文涉及的Biomarker包括Ki67免疫评分(免疫组化标志物)、GSTP1启动子甲基化和KLF8启动子甲基化(DNA甲基化标志物),筛选与验证逻辑完整,从组织样本检测到临床模型构建,再到独立队列验证,逐步明确了Ki67作为前列腺癌预后Biomarker的临床价值。
Biomarker定位方面,Ki67免疫评分是核心预后Biomarker,筛选逻辑为:首先在前列腺切除组织中检测其表达与临床病理参数的相关性,证实其与肿瘤侵袭性的关联,然后纳入风险模型构建,最终在独立活检队列中验证其预测复发风险的效能;GSTP1和KLF8甲基化作为辅助Biomarker,用于探索其预后价值,其中GSTP1甲基化被证实无明确预后价值,KLF8甲基化的预后作用受年龄影响较大,未纳入最终的临床应用模型。
研究过程详述:Ki67免疫评分的样本来源为前列腺切除组织和诊断活检组织,检测方法为免疫组化,评分标准为阳性细胞比例<5%、5-10%、>10%分别对应0、1、2分,在发现队列中,高Ki67评分与更短的生化复发生存期显著相关,在验证队列中,包含Ki67的ProstARK模型AUC为0.723(95% CI 0.571–0.875),敏感性为66.67%,特异性为79.17%;GSTP1和KLF8甲基化的样本来源为前列腺切除组织,检测方法为甲基化特异性技术,GSTP1甲基化仅在不同肿瘤分期患者间存在差异,未显示出预后价值,KLF8低甲基化与GG1/2患者更差的总生存期相关,但由于总生存期受年龄影响显著,其临床应用价值有限。
核心成果提炼:Ki67免疫评分作为前列腺癌预后Biomarker,首次被纳入低成本、易推广的风险计算器ProstARK,该模型在独立队列中显示出良好的预测效能,阴性预测值为86%,可有效识别适合主动监测的患者,减少不必要的活检和过度治疗;本研究的创新性在于将Ki67免疫评分与常规临床病理参数结合,构建了比现有商业化基因组检测更经济、易操作的风险分层工具,为前列腺癌患者的个体化治疗决策提供了新的依据,尤其是低危和中危患者的风险分层。此外,研究明确了GSTP1甲基化无预后价值,KLF8甲基化的预后作用受年龄限制,为后续前列腺癌Biomarker研究提供了参考方向。
