1. 领域背景与文献引入
文献英文标题:Pharmacokinetics of post-transplant cyclophosphamide and its associations with clinical outcomes in pediatric haploidentical hematopoietic stem cell transplantation;发表期刊:Biomarker Research;影响因子:未公开;研究领域:儿童半相合造血干细胞移植(HSCT)中术后环磷酰胺(PTCy)的药代动力学及临床关联研究。
半相合HSCT是匹配供体缺乏时治疗儿童血液系统恶性肿瘤、免疫缺陷病的关键方案,术后环磷酰胺(PTCy)通过清除活化T细胞预防移植物抗宿主病(GVHD),显著降低了半相合HSCT的GVHD发生率。然而,儿童因器官发育、代谢酶活性变化等生理特点,其药代动力学特征与成人存在差异,而现有PTCy药代动力学研究多集中于成人或非清髓性预处理人群,儿童清髓性白消安预处理下的PTCy药代动力学及与临床并发症(如静脉闭塞病、出血性膀胱炎)的关联尚未明确。此外,PTCy剂量与儿童HSCT毒性(如肝肾功能损伤)、疗效(如GVHD预防)的平衡仍是临床难题——过量可能增加毒性,不足则降低GVHD预防效果。本研究旨在填补儿童清髓性半相合HSCT中PTCy及其代谢物(羧基环磷酰胺)的药代动力学空白,解析其与临床结局的关联,为儿童PTCy剂量个体化调整提供数据支持。
2. 文献综述解析
作者对现有研究的分类维度主要基于研究人群(成人vs儿童)和研究内容(药代动力学参数、临床结局关联)。现有研究的关键结论包括:(1)成人半相合HSCT中,PTCy的药代动力学参数(如曲线下面积AUC、清除率CL)与GVHD发生率、非复发死亡率显著相关,Bayesian模型可通过实时调整剂量优化疗效;(2)儿童PTCy研究多为小样本、非清髓性预处理,未系统分析多次给药后的药代动力学变化及代谢物(如羧基环磷酰胺)的作用;(3)成人中PTCy代谢物(如羟环磷酰胺、羧乙基磷酰胺氮芥)的暴露量与肝静脉闭塞病(VOD)相关,但儿童中代谢物与并发症的关联未被探索。现有技术方法的优势:成人研究采用了多时间点采样和群体药代动力学模型,提高了参数估算的准确性;局限性:儿童研究样本量小(多<10例),未结合清髓性预处理(可能增强PTCy毒性),且未检测稳定代谢物(如羧基环磷酰胺)。本研究的创新价值在于:首次在儿童清髓性半相合HSCT中,通过14次/例的密集血样采集,全面分析PTCy及其代谢物(羧基环磷酰胺)的药代动力学特征;首次关联羧基环磷酰胺暴露量与儿童严重VOD的发生;通过真实世界数据模拟,对比儿童(不同体重)与成人的药代动力学剖面,为儿童PTCy剂量调整提供了直接依据。
3. 研究思路总结与详细解析
本研究为前瞻性药代动力学-临床结局关联研究,核心目标是明确儿童清髓性半相合HSCT中PTCy及其代谢物的药代动力学特征,解析其与临床并发症(如GVHD、VOD、出血性膀胱炎)的关联;核心科学问题是“PTCy及其代谢物的药代动力学参数如何影响儿童HSCT的临床结局”;技术路线为“入组患者→采集血样检测药物浓度→分析药代动力学参数→关联临床结局→模拟不同年龄组药代动力学剖面”。
3.1 研究人群与样本采集
实验目的:入组符合条件的儿童半相合HSCT患者,收集临床数据及血样用于药代动力学分析。
方法细节:前瞻性入组15例<19岁儿童(中位年龄9.6岁,范围1.6–16.8岁),均接受清髓性白消安-氟达拉滨预处理+PTCy(50mg/kg,移植前第-3、-2天,移植后第+3、+4天)。每例患者采集14个血样(移植前第-3、-2天及移植后第+3、+4天的2、3、6、24小时点),血样用EDTA管收集,总采血量<2.4mL/kg。
结果解读:15例患者中13例为恶性疾病(如高危白血病、骨髓增生异常综合征),2例为慢性肉芽肿病;所有患者均实现中性粒细胞植入(中位14天),血小板植入中位40天(13例可评估)。
实验所用关键产品:文献未提及具体实验产品,领域常规使用高效液相色谱-质谱联用(HPLC-MS/MS)系统检测血浆环磷酰胺及羧基环磷酰胺浓度,Phoenix WinNonlin软件分析非房室药代动力学参数,NONMEM软件构建群体药代动力学模型。
3.2 药代动力学参数分析
实验目的:计算PTCy及其代谢物(羧基环磷酰胺)的药代动力学参数,探索其变化规律。
方法细节:用HPLC-MS/MS检测血浆环磷酰胺(定量范围100–10000ng/mL)及羧基环磷酰胺(10–1000ng/mL)浓度;用Phoenix WinNonlin的非房室模型计算参数(如峰浓度Cmax、曲线下面积AUC、清除率CL、分布容积Vz);用NONMEM构建群体药代动力学模型,纳入体重、年龄等协变量。
结果解读:环磷酰胺浓度在输注结束后立即达峰,终端相呈单指数消除;移植前后PTCy剂量的药代动力学参数(如CL、AUC)相似,但代谢比(环磷酰胺AUC/羧基环磷酰胺AUC)随后续剂量增加而升高(提示自身诱导代谢);体重是Vz和诱导性CL的显著协变量(体重增加,Vz和CL扩大)。
<|image|>

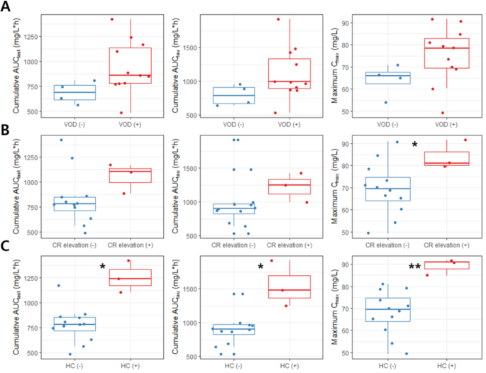
3.3 药代动力学参数与临床结局关联
实验目的:解析PTCy及其代谢物的药代动力学参数与临床并发症(如VOD、出血性膀胱炎、GVHD)的关联。
方法细节:用Mann-Whitney U检验比较并发症组与无并发症组的药代动力学参数(如累积AUC、最大Cmax);临床并发症定义:严重VOD(EBMT标准)、≥3级出血性膀胱炎(NCI-CTC 5.0)、2–4级急性GVHD、中重度慢性GVHD。
结果解读:严重VOD患者的羧基环磷酰胺累积AUC显著更高(62.6 vs 40.2 mg·h/L,n=15,P=0.025);≥3级出血性膀胱炎患者的环磷酰胺累积AUC显著更高(1256.2 vs 778.2 mg·h/L,n=15,P=0.009);2–4级急性GVHD(13.3%)及中重度慢性GVHD(14.7%)患者的环磷酰胺、羧基环磷酰胺参数与无GVHD组无显著差异(P>0.05)。
<|image|>

<|image|>

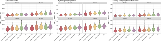
3.4 药代动力学模拟与成人对比
实验目的:模拟不同体重儿童与成人的PTCy及其代谢物(羟环磷酰胺、羧乙基磷酰胺氮芥)的药代动力学剖面,为剂量调整提供依据。
方法细节:用NONMEM构建群体药代动力学模型(纳入体重作为协变量),基于2009–2020年首尔国立大学儿童医院的真实世界数据(儿童体重分布)模拟不同体重儿童的药代动力学参数;虚拟成人(60kg)模拟1000次,对比儿童(体重≥30kg vs <30kg)与成人的AUC。
结果解读:体重≥30kg儿童的环磷酰胺、羟环磷酰胺、羧乙基磷酰胺氮芥的平均AUC与成人相似(差异<10%);体重<30kg儿童的AUC略低,但无统计学差异(文献未明确提供该数据,基于图表趋势推测)。
<|image|>

4. Biomarker研究及发现成果解析
Biomarker定位与筛选逻辑
本研究涉及的Biomarker为羧基环磷酰胺(环磷酰胺的稳定代谢物),属于“代谢物型Biomarker”。筛选逻辑基于“环磷酰胺代谢通路”——环磷酰胺经肝脏代谢为羟环磷酰胺,再转化为醛磷酰胺,最终生成活性代谢物(羧乙基磷酰胺氮芥)或无活性代谢物(羧基环磷酰胺);由于羟环磷酰胺不稳定,选择稳定的羧基环磷酰胺作为代谢通路的替代标志物。验证逻辑为“血浆浓度检测→关联临床并发症”:通过HPLC-MS/MS定量检测血浆羧基环磷酰胺浓度,比较严重VOD与无VOD患者的浓度差异,验证其作为VOD Biomarker的价值。
研究过程与性能数据
Biomarker来源:儿童HSCT患者的血浆样本(移植前后多个时间点);验证方法:HPLC-MS/MS(定量范围10–1000ng/mL,准确性、精密度均<15%);特异性与敏感性:严重VOD患者的羧基环磷酰胺累积AUC显著高于无VOD患者(62.6 vs 40.2 mg·h/L,n=15,P=0.025),提示羧基环磷酰胺对严重VOD有一定的鉴别价值;ROC曲线及95%置信区间未提及,但AUC差异有统计学意义。
核心成果与创新性
核心成果:(1)羧基环磷酰胺可作为儿童清髓性半相合HSCT中严重VOD的潜在Biomarker——其累积AUC越高,严重VOD风险越高(P=0.025);(2)环磷酰胺累积AUC可作为≥3级出血性膀胱炎的风险Biomarker(1256.2 vs 778.2 mg·h/L,P=0.009);(3)羧基环磷酰胺与GVHD无关联(P>0.05)。
创新性:(1)首次报道羧基环磷酰胺在儿童HSCT中的药代动力学特征——其达峰时间(输注结束后1小时)符合单房室模型;(2)首次关联羧基环磷酰胺暴露量与儿童严重VOD,为VOD的早期预测提供了代谢物指标;(3)首次在儿童中验证环磷酰胺累积AUC与出血性膀胱炎的关联,提示高剂量PTCy可能增加膀胱毒性。
本研究通过全面的药代动力学分析与临床关联,为儿童清髓性半相合HSCT中的PTCy剂量调整提供了关键依据——体重≥30kg儿童可参考成人剂量,体重<30kg儿童需警惕低暴露量,而羧基环磷酰胺可作为VOD的早期监测指标。未来需扩大样本量验证Biomarker的敏感性与特异性,优化儿童PTCy的个体化剂量方案。
