1. 领域背景与文献引入
文献英文标题:Diagnostic value of the wnt target and cancer-associated blood biomarker hPG80: ONCOPRO case-control prospective study;发表期刊:Biomarker Research;影响因子:未公开;研究领域:肿瘤生物标志物、多癌种早期诊断
领域共识:2021年世界卫生组织数据显示,癌症是全球前两位致死原因,早期诊断是降低癌症死亡率、改善患者预后的核心策略。当前多癌种早期诊断领域的核心技术方向包括基于循环肿瘤DNA(ctDNA)的测序技术与基于蛋白标志物的免疫检测技术,其中ctDNA技术在大规模前瞻性研究中展现出高特异性,但存在检测成本高昂、操作复杂、基层医疗机构难以普及的局限性。Wnt/β-连环蛋白信号通路是调控肿瘤发生发展的核心通路之一,其下游靶分子成为肿瘤生物标志物的重要研究方向。hPG80(循环胃泌素前体)作为Wnt通路的直接靶标,前期回顾性研究显示其在肾癌、肝癌、乳腺癌等多种癌症患者血液中显著升高,且检测方法为低成本的酶联免疫吸附试验(ELISA),可在常规医学实验室开展,但这些研究均为回顾性设计,存在选择偏倚,缺乏大样本前瞻性验证,也未明确不同癌种的诊断效能差异,这是当前领域的关键研究空白。因此,研究团队开展ONCOPRO多中心前瞻性病例对照研究,系统评估hPG80在16种新诊断癌症中的诊断价值,为其临床转化应用提供严谨的循证医学证据。
2. 文献综述解析
作者对领域内现有研究的分类维度主要为技术类型(ctDNA测序技术vs ELISA蛋白检测技术)与研究设计(回顾性研究vs前瞻性研究)。现有研究中,基于ctDNA的多癌早筛技术在DETECT-A、PATHFINDER等大规模前瞻性研究中显示出99%以上的特异性,但存在检测成本高、操作流程复杂、对样本质量要求高的局限性,难以在基层医疗机构推广;hPG80的回顾性研究则显示其在转移性肾癌、肝细胞癌、乳腺癌等多种癌症中与患者不良预后相关,且检测方法为低成本的ELISA,可在常规实验室开展,无需高端设备,但这些研究均为回顾性设计,存在病例选择偏倚,样本量相对较小,未系统评估其在多癌种中的诊断效能,也缺乏前瞻性大样本验证。本研究的创新价值在于首次通过多中心前瞻性病例对照研究设计,纳入16种癌种的421例患者与330例健康对照,系统评估hPG80的诊断价值,明确其在肺癌、肝细胞癌中的高诊断效能,弥补了回顾性研究的局限性,为hPG80的临床应用提供了更可靠的循证医学依据。
3. 研究思路总结与详细解析
整体研究框架:以验证hPG80作为多癌种早筛生物标志物的诊断价值为核心目标,围绕“hPG80能否有效区分癌症患者与健康对照,且在不同癌种中具有差异化诊断效能”这一核心科学问题,采用“前瞻性病例对照入组→标准化hPG80检测→统计学分析诊断效能→分层亚组验证”的闭环技术路线,确保研究结果的科学性与可靠性。
3.1 研究对象招募与标准化分组
实验目的:建立基线特征匹配的癌症病例组与健康对照组,消除潜在混杂因素对研究结果的影响。
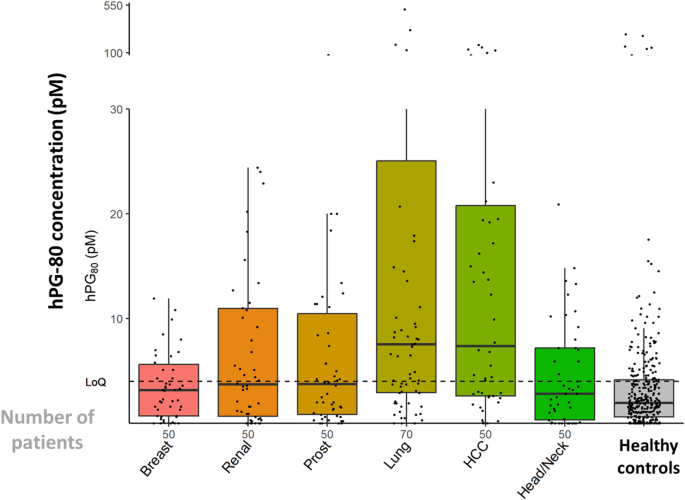
方法细节:前瞻性纳入法国里昂大学医院17个科室的506例新诊断癌症患者,最终421例符合纳入标准,涵盖16种癌种,其中6个大样本队列(≥50例)包括非小细胞肺癌/小细胞肺癌、乳腺癌、肾癌、前列腺癌、肝细胞癌、头颈部癌,10个探索性小队列(10例)包括结直肠癌、甲状腺癌等。同时纳入330例年龄、性别与病例组匹配的无症状健康对照。病例组纳入标准为年龄>18岁、经组织学或细胞学确诊为癌症、肌酐清除率>30mL/min或肌酐≤1.5倍正常上限、肝功能指标符合要求;排除标准为既往有癌症史(非黑色素瘤皮肤癌、宫颈原位癌且治愈5年以上除外)。所有受试者均签署知情同意书,研究方案经伦理委员会批准。
结果解读:病例组中位年龄为65.6岁(IQR:58.2-72.9,n=421),性别分布为59.6%男性、40.4%女性,与健康对照组的年龄、性别特征匹配良好,确保了组间可比性,减少了混杂因素对hPG80诊断效能分析的干扰。


实验所用关键产品:Biodena Care的DxPG80.Lab ELISA试剂盒。
3.2 hPG80水平的标准化检测与质量控制
实验目的:建立稳定、可靠的hPG80检测体系,确保检测结果的准确性与重复性。
方法细节:所有血液样本在里昂大学医院的中心实验室统一检测,采用Biodena Care的DxPG80.Lab ELISA试剂盒,严格按照制造商说明书操作。检测体系的最低检测限(LoD)为1.2pM,最低定量限(LoQ)为3.3pM,批内与批间变异系数(CV%)均低于10%,无与胃泌素-17、胃泌素-甘氨酸等相关分子的交叉反应,也不受SN-38、5-氟尿嘧啶等化疗药物及甘油三酯、胆固醇、血红蛋白的干扰。
结果解读:检测体系的重复性、特异性与抗干扰能力均符合临床检测要求,确保了hPG80浓度数据的可靠性,为后续统计学分析提供了坚实基础。
3.3 诊断效能的统计学分析与验证
实验目的:系统评估hPG80区分癌症患者与健康对照的诊断效能,明确其整体与分癌种的诊断价值。
方法细节:采用Wilcoxon秩和检验比较病例组与对照组的hPG80水平差异,通过受试者工作特征(ROC)曲线计算曲线下面积(AUC)评估诊断准确性,采用Spearman相关分析评估hPG80与患者年龄、肝肾功能、炎症状态等临床特征的相关性,统计学显著性阈值设为P<0.05。
结果解读:病例组hPG80中位浓度为3.8pM(IQR:1.0-11.1,n=421),显著高于健康对照组的1.9pM(IQR:0.6-4.2,n=330,P<0.0001)。整体人群中hPG80的诊断效能ROC AUC为0.63(95%CI:0.59-0.67),与随机猜测(AUC=0.5)相比具有统计学差异。进一步分层分析显示,在年龄>58岁的肺癌患者中,hPG80的诊断效能显著提升,ROC AUC为0.75(95%CI:0.67-0.82,n=56),当hPG80 cutoff值设为7.73pM时,特异性为88%,敏感性为49%;在年龄>58岁的肝细胞癌患者中,ROC AUC为0.74(95%CI:0.65-0.83,n=47),相同cutoff值下特异性为88%,敏感性为51%。此外,hPG80水平与患者肝肾功能(谷丙转氨酶、谷草转氨酶、肌酐)、炎症状态(C反应蛋白)无显著临床相关性,提示其升高并非由器官功能异常或炎症导致,而是与肿瘤直接相关。术后亚组分析显示,83%术前hPG80水平高于LoQ的患者,术后2小时hPG80降至LoQ以下,进一步验证了hPG80与肿瘤的关联。



3.4 互补诊断价值的亚组分析
实验目的:评估hPG80与现有临床常用生物标志物的互补诊断价值,明确其临床应用场景。
方法细节:针对前列腺癌、乳腺癌、肝细胞癌等已有常用生物标志物的癌种,分析hPG80联合现有标志物的诊断效能变化,重点关注肝细胞癌中甲胎蛋白(AFP)阴性亚组的hPG80表现。
结果解读:在前列腺癌中,前列腺特异性抗原(PSA)单独的诊断效能ROC AUC为0.97(95%CI:0.94-0.99),联合hPG80后AUC仍为0.97,未提升诊断效能;在乳腺癌中,癌抗原15-3(CA15-3)与癌胚抗原(CEA)的诊断效能较低,AUC分别为0.65与0.61,联合hPG80后也未显著提升诊断效能。而在肝细胞癌中,AFP的诊断效能ROC AUC为0.77(95%CI:0.69-0.85),与hPG80的AUC相近,且在39例AFP阴性(<20ng/mL)的肝细胞癌患者中,51.2%的患者hPG80>7.73pM,提示hPG80可作为AFP的互补标志物,提升肝细胞癌的诊断率。
4. Biomarker研究及发现成果解析
Biomarker定位:hPG80是Wnt/β-连环蛋白信号通路调控的循环肿瘤生物标志物,其筛选与验证逻辑为:基于前期回顾性研究发现hPG80在癌症患者血液中升高→开展多中心前瞻性病例对照研究,纳入16种癌种的大样本患者与健康对照,验证其诊断效能→分层分析明确不同癌种、不同年龄亚组的诊断价值→评估与临床特征的相关性,明确其特异性。
研究过程详述:hPG80来源于肿瘤细胞分泌的未加工胃泌素前体,检测样本为外周血,采用Biodena Care的DxPG80.Lab ELISA试剂盒进行定量检测,检测的最低定量限为3.3pM。在整体研究人群中,癌症患者hPG80中位浓度为3.8pM(IQR:1.0-11.1,n=421),显著高于健康对照组的1.9pM(IQR:0.6-4.2,n=330,P<0.0001),诊断效能ROC AUC为0.63(95%CI:0.59-0.67)。在年龄>58岁的肺癌患者中,hPG80的诊断效能显著提升,ROC AUC为0.75(95%CI:0.67-0.82,n=56),当cutoff值设为7.73pM时,敏感性为49%,特异性为88%;在年龄>58岁的肝细胞癌患者中,ROC AUC为0.74(95%CI:0.65-0.83,n=47),相同cutoff值下敏感性为51%,特异性为88%。此外,hPG80水平不受患者肝肾功能、炎症状态的影响,术后83%的高hPG80患者浓度降至检测限以下,进一步验证了其与肿瘤的特异性关联。
核心成果提炼:hPG80作为Wnt通路的靶标,其血液浓度升高与肿瘤存在直接特异性关联,不受肝肾功能、炎症状态等混杂因素影响;在年龄>58岁的肺癌和肝细胞癌患者中具有较高的诊断效能,可作为现有筛查手段的互补标志物,尤其是在AFP阴性的肝细胞癌患者中,hPG80可弥补AFP的不足,提升诊断率;本研究首次通过多中心前瞻性大样本研究验证了hPG80的诊断价值,明确了其优势应用场景,为hPG80的临床转化应用提供了严谨的循证医学依据。研究同时指出,hPG80在其他癌种中的诊断效能有限,未来需进一步探索其与其他生物标志物的联合应用,以提升多癌种早筛的整体效能。
