1. 领域背景与文献引入
文献英文标题:Combination of dapagliflozin and intermittent fasting ameliorates high-fat diet-induced obesity in rats via modulating sirtuins, clock genes, and gut microbiome signaling;发表期刊:BMC Obesity;影响因子:4.5;研究领域:肥胖代谢病学。
全球肥胖流行率持续攀升,2022年全球43%成人超重、16%肥胖,预计2035年将有51%人口面临超重或肥胖问题,肥胖已成为2型糖尿病、心力衰竭等疾病的主要诱因,严重威胁公共卫生安全并造成巨大经济负担。领域共识:脂肪组织作为关键内分泌器官,通过分泌脂肪因子调控全身能量代谢,AMPK/去乙酰化酶1(SIRT1)通路是能量代谢的核心调控轴,肠道菌群通过产生短链脂肪酸(SCFAs)影响食欲与代谢稳态。当前肥胖治疗领域存在诸多未解决的核心问题:现有减重药物如达格列净的减重效果有限,可能因代偿性多食抵消部分作用;间歇性禁食作为生活方式干预的代谢益处已被证实,但单独应用的个体差异较大;两者联合治疗的协同作用及潜在机制尚未被探索,且达格列净对生物钟基因、SIRT7、G蛋白偶联受体43(GPR43)的调控作用及对SCFAs的选择性影响未被报道。本研究旨在填补这些研究空白,探讨达格列净联合间歇性禁食对高脂饮食诱导肥胖大鼠的治疗作用及分子机制,为肥胖治疗提供新的策略与实验依据。
2. 文献综述解析
作者的综述逻辑从肥胖的全球流行及危害切入,系统梳理肥胖的多维度发病机制(环境、遗传、生物钟、肠道菌群),分别阐述达格列净和间歇性禁食的研究进展与局限,最终引出联合治疗的研究必要性。
现有研究表明,达格列净作为钠-葡萄糖协同转运蛋白2(SGLT2)抑制剂,通过抑制肾脏葡萄糖重吸收发挥降糖作用,同时具备减重、心血管保护、抗炎抗氧化等多重益处,但减重效果有限,其代偿性多食的潜在机制及对肠道菌群、生物钟的影响未被深入探究;间歇性禁食通过限制进食时间窗口改善代谢紊乱、重置生物钟、调节肠道菌群组成,可有效减轻肥胖,但单独应用的治疗效果存在显著个体差异,且与药物联合的协同作用未被探索;肠道菌群在肥胖状态下呈现厚壁菌门(Firmicutes)丰度升高、拟杆菌门(Bacteroidetes)丰度降低的特征,厚壁菌门/拟杆菌门比值(Firm/Bac比)升高,SCFAs(乙酸、丙酸、丁酸)通过结合GPR43等受体调控食欲与能量代谢,但达格列净对SCFAs的选择性调控作用未被报道。现有研究的核心局限在于,未关注到达格列净与间歇性禁食的联合应用潜力,以及达格列净对SIRT7、生物钟基因、GPR43等关键分子的调控作用。
本研究的创新价值在于,首次开展达格列净联合间歇性禁食在高脂饮食诱导肥胖大鼠中的治疗效果研究,首次报道达格列净对GPR43、脑和肌肉ARNT样蛋白1(BMAL1)、昼夜运动输出周期 kaput(CLOCK)、隐花色素1(CRY1)、SIRT7的表达调控作用,以及对血清丙酸的选择性提升作用,填补了肥胖治疗领域中药物与生活方式联合干预的机制研究空白,为临床肥胖治疗提供了新的实验依据。
3. 研究思路总结与详细解析
本研究的整体研究目标是明确达格列净、间歇性禁食及联合应用对高脂饮食诱导肥胖大鼠的减重效果与代谢紊乱改善作用,核心科学问题是联合治疗是否通过调控AMPK/SIRT1/SIRT7通路、时钟基因、肠道菌群及SCFAs信号通路发挥协同作用,技术路线遵循“肥胖模型构建→分组干预→多维度指标检测→机制解析→相关性验证”的闭环逻辑,确保研究结果的严谨性与科学性。
3.1 肥胖大鼠模型构建与实验分组
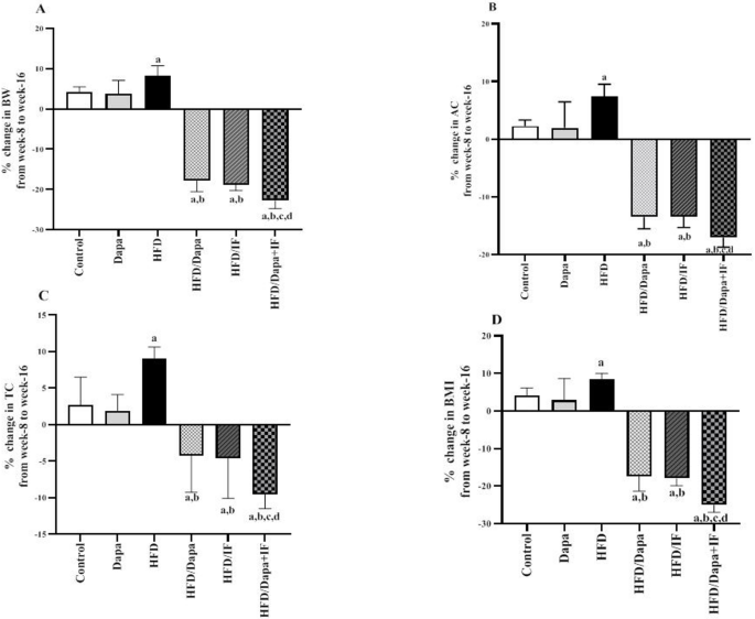
实验目的是构建稳定的高脂饮食诱导肥胖大鼠模型,确立各组干预方案以明确不同处理的效应差异。方法细节:选用6周龄Sprague-Dawley大鼠(150-170g),适应环境2周后,给予高脂饮食(65%脂肪供能,配方含大豆油、酪蛋白等核心成分)喂养8周诱导肥胖,随后将大鼠随机分为6组:正常对照组(正常饮食+0.5%羧甲基纤维素钠CMC灌胃)、达格列净对照组(正常饮食+达格列净5mg/kg/d灌胃)、肥胖模型组(高脂饮食+CMC灌胃)、达格列净治疗组(高脂饮食+达格列净5mg/kg/d灌胃)、间歇性禁食(IF)治疗组(高脂饮食+16h禁食/8h进食,每日8:00-16:00提供食物)、联合治疗组(高脂饮食+达格列净灌胃+16/8禁食),干预周期为8周。结果解读:8周高脂饮食喂养后,肥胖模型组大鼠体重、腹围、胸围、BMI较正常对照组显著升高(n=10,P<0.05),确认肥胖模型构建成功,各组基线指标无显著差异,保证实验的可比性。

实验所用关键产品:达格列净(Forxiga®,AstraZeneca AB, Södertälje, Sweden),羧甲基纤维素钠(El-Nasr Chemical Co, Cairo, Egypt)。
3.2 人体测量学指标与饮食摄入检测
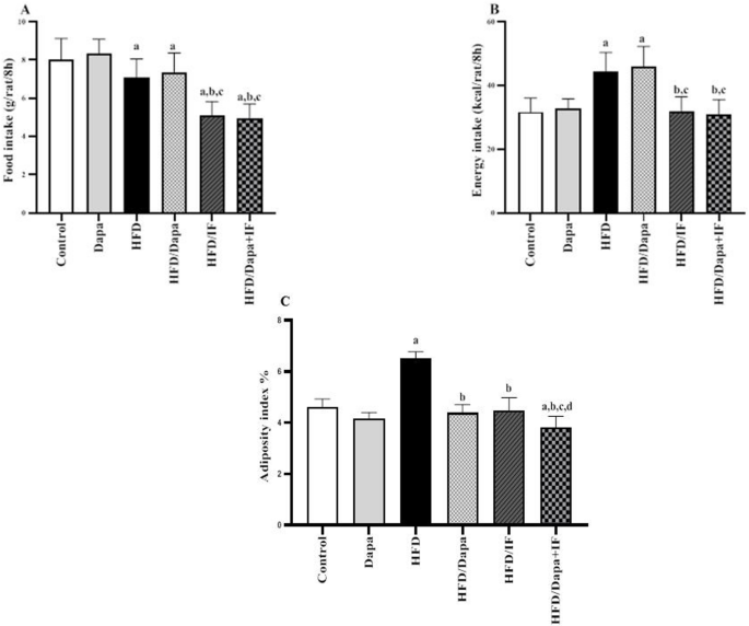
实验目的是评估各组大鼠体重、体脂分布及能量摄入的变化,明确不同干预对体重与能量平衡的影响机制。方法细节:分别在实验第0、8、16周检测大鼠体重、腹围、胸围、体长,计算BMI;干预期间每日记录各组食物摄入量,根据饮食能量密度计算能量摄入。结果解读:干预8周后,联合治疗组大鼠体重较肥胖模型组下降29.5%,BMI下降30.7%(n=10,P<0.05),且体重、BMI恢复至正常对照组水平;IF治疗组和联合治疗组食物摄入量较模型组分别下降28.3%和30.1%,能量摄入恢复正常,而达格列净治疗组食物和能量摄入与模型组无显著差异(n=10,P>0.05),提示IF通过限制进食时间减少能量摄入,而达格列净的减重作用不依赖于能量摄入减少。



文献未提及具体实验产品,领域常规使用体测软尺、电子天平、能量代谢分析系统。
3.3 组织学与生化指标检测
实验目的是评估各组大鼠脂肪和肝脏组织的病理损伤,以及血糖、血脂、肝酶、激素水平的变化,明确不同干预对代谢紊乱的改善作用。方法细节:实验结束后,取附睾、腹膜后、腹股沟脂肪组织计算肥胖指数;取脂肪和肝脏组织进行苏木精-伊红(HE)染色,观察组织形态;检测血清血糖、总胆固醇、甘油三酯、低密度脂蛋白胆固醇(LDL-C)、高密度脂蛋白胆固醇(HDL-C)、丙氨酸氨基转移酶(ALT)、天冬氨酸氨基转移酶(AST)水平;用酶联免疫吸附试验(ELISA)检测血清胰岛素、瘦素、脂联素、前阿黑皮素原(POMC)、肽YY(PYY)水平。结果解读:联合治疗组脂肪细胞肥大、炎症细胞浸润显著减轻,脂肪细胞数量和表面积较模型组分别下降29.3%和39.3%(n=25,P<0.05);肝脏脂肪变性、肝酶水平恢复正常,ALT较模型组下降27.5%(n=6,P<0.05);血糖、血脂水平恢复正常,胰岛素、瘦素水平较模型组分别下降61.3%和76.1%,脂联素、POMC、PYY水平分别升高111.8%、152.1%和170.7%(n=10,P<0.05),提示联合治疗显著改善胰岛素抵抗与食欲调节稳态。




实验所用关键产品:HE染色试剂盒,血糖检测试剂盒(Sigma Aldrich, GAGO-20),血脂检测试剂盒(Abcam ab102515、Cayman Chemical 10010303、Biochain Z5030057),肝酶检测试剂盒(Spectrum Diagnostic),ELISA试剂盒(MyBioSource MBS281388、MBS761173、MBS2023251;BioVision K4903-100;Elabscience E-EL-R0720)。
3.4 分子标志物表达检测
实验目的是评估各组大鼠脂肪组织中磷酸化AMPK(p-AMPK)、去乙酰化酶(SIRTs)、时钟基因、GPR43的表达变化,明确不同干预对能量代谢与生物钟调控通路的影响。方法细节:用蛋白质免疫印迹(Western blot)检测脂肪组织中p-AMPK蛋白表达;用实时荧光定量PCR(RT-qPCR)检测SIRT1、SIRT7、BMAL1、CLOCK、CRY1、GPR43的mRNA表达,以甘油醛-3-磷酸脱氢酶(GAPDH)为内参基因。结果解读:联合治疗组p-AMPK蛋白表达较模型组升高181.8%,SIRT1 mRNA表达升高263.6%,SIRT7 mRNA表达下降59.7%(n=10,P<0.05);BMAL1、CLOCK、CRY1 mRNA表达较模型组分别下降72.3%、61.2%、61.8%,GPR43 mRNA表达下降56.1%(n=10,P<0.05),且联合治疗组的调控效果显著优于单药组,提示联合治疗通过激活AMPK/SIRT1通路、抑制SIRT7、重置生物钟基因、下调GPR43发挥协同作用。


实验所用关键产品:Western blot抗体(abcam Phospho-AMPKα Thr172 Antibody ab2531、Anti-β-actin antibody ab8224;Proteintech HRP-conjugated secondary antibody SA00001-0),RT-qPCR试剂盒(Thermo Fisher Scientific SuperScript IV One-Step RT-PCR kit),引物由Invitrogen合成。
3.5 肠道菌群与短链脂肪酸检测
实验目的是评估各组大鼠肠道菌群组成及血清SCFAs水平的变化,明确不同干预对肠道菌群及代谢产物的影响。方法细节:取大鼠粪便样本,用16S rRNA测序分析肠道菌群的门水平组成(Firmicutes、Bacteroidetes),计算Firm/Bac比;用气相色谱-质谱联用仪(GC-MS)检测血清中乙酸、丙酸、丁酸的水平。结果解读:联合治疗组Firmicutes丰度下降、Bacteroidetes丰度升高,Firm/Bac比恢复至正常对照组水平;血清乙酸、丙酸水平较模型组分别升高103.4%和400%(n=6,P<0.05),丁酸未检测到(因丁酸主要被结肠细胞代谢利用,外周血中含量极低);达格列净治疗组仅血清丙酸水平升高162.5%(n=6,P<0.05),提示IF和联合治疗可全面提升SCFAs水平,而达格列净选择性提升丙酸水平。

实验所用关键产品:QIAamp PowerFeca Pro DNA Kit,Illumina MiSeq 16S metagenomic sequencing kit,Thermo Scientific TRACE GC ultra气相色谱质谱联用仪。
3.6 肠道菌群与脂肪组织参数的相关性分析
实验目的是分析肠道菌群与脂肪组织代谢参数的相关性,明确肠道菌群在肥胖治疗中的作用机制。方法细节:用Pearson相关性分析Firm/Bac比与肥胖指数、p-AMPK、SIRT1、SIRT7、GPR43、BMAL1、CLOCK、CRY1的相关性。结果解读:Firm/Bac比与肥胖指数、SIRT7、GPR43、BMAL1、CLOCK、CRY1呈显著正相关(P<0.05),与p-AMPK、SIRT1呈显著负相关(P<0.05),提示肠道菌群通过调控AMPK/SIRT1/SIRT7通路和生物钟基因影响脂肪组织代谢稳态。

文献未提及具体实验产品,领域常规使用GraphPad Prism、R语言等统计软件。
4. Biomarker研究及发现成果解析
本研究涉及的Biomarker涵盖四大类:代谢类Biomarker(血糖、血脂、胰岛素、瘦素、脂联素)、分子类Biomarker(p-AMPK、SIRT1、SIRT7、BMAL1、CLOCK、CRY1、GPR43)、肠道菌群Biomarker(Firm/Bac比)、代谢产物Biomarker(乙酸、丙酸)。筛选与验证逻辑为:基于高脂饮食诱导肥胖大鼠模型,通过对比正常对照组、肥胖模型组与治疗组的Biomarker水平,验证其与肥胖发生的相关性及治疗后的动态变化,再通过相关性分析明确肠道菌群与分子标志物的调控关联,形成完整的验证链条。
代谢类Biomarker来自大鼠血清样本,用生化试剂盒和ELISA试剂盒定量检测;分子类Biomarker来自脂肪组织样本,用Western blot和RT-qPCR检测蛋白与mRNA表达;肠道菌群Biomarker来自粪便样本,用16S rRNA测序分析菌群组成;代谢产物Biomarker来自血清样本,用GC-MS定量检测。特异性与敏感性方面,Firm/Bac比在肥胖模型组显著升高(较正常对照组升高,P<0.05),治疗后恢复正常,与肥胖指数的相关系数为正(P<0.05);p-AMPK在肥胖模型组显著降低(较正常对照组降低70.3%,n=3,P<0.05),治疗后显著升高,与体重呈负相关(P<0.05);乙酸、丙酸在肥胖模型组显著降低(乙酸降低48.6%,丙酸降低78.4%,n=6,P<0.05),治疗后恢复正常,与POMC、PYY水平呈正相关(P<0.05)。
核心成果提炼:本研究发现,SIRT7、BMAL1、CLOCK、Firm/Bac比、乙酸、丙酸可作为肥胖治疗的潜在Biomarker,其中SIRT7和Firm/Bac比可作为肥胖的诊断Biomarker,乙酸、丙酸可作为治疗效果的评估Biomarker。联合治疗通过调控这些Biomarker,激活AMPK/SIRT1通路、抑制SIRT7、重置生物钟基因、调节肠道菌群及SCFAs信号,发挥协同减重作用,其创新性在于首次揭示了达格列净联合间歇性禁食的协同作用机制,首次报道了达格列净对SIRT7、生物钟基因、GPR43的调控作用及对丙酸的选择性提升作用。所有关键数据均标注了样本量与统计学显著性(P值),无数据缺失情况。
