1. 领域背景与文献引入
文献英文标题:Convergent evolution of type I antifreeze proteins from four different progenitors in response to global cooling;发表期刊:BMC Molecular and Cell Biology;影响因子:未公开;研究领域:鱼类分子进化与抗冻蛋白生物学
抗冻蛋白(AFP)是一类能特异性结合冰晶、降低生物非平衡冰点的功能蛋白,广泛存在于寒带/极地的细菌、硅藻、昆虫、植物与鱼类中,是生物适应低温环境的核心分子。领域发展关键节点可追溯至1970年代,科学家首次在南极鱼类中发现抗冻糖蛋白(AFGP);后续数十年间,陆续鉴定出鱼类中的I-IV型AFP,其中I型AFP为丙氨酸富集的α-螺旋结构,仅存在于硬骨鱼中。当前研究热点聚焦于AFP的起源与进化机制,尤其是环境压力驱动下的基因新功能化路径;未解决的核心问题在于,I型AFP在不同鱼类谱系中的独立起源机制尚未完全阐明,尤其是非编码区转座子参与的起源路径仍缺乏系统证据。结合领域现状,本研究针对四种独立进化出I型AFP的鱼类谱系(鲽、杜父鱼、cunner、狮子鱼)展开系统解析,旨在明确其不同的祖先基因与进化路径,完善I型AFP趋同进化的分子证据链,为环境驱动的基因功能创新研究提供典型范式。

2. 文献综述解析
作者对鱼类抗冻蛋白领域的现有研究按AFP类型(I-IV型、AFGP)及起源机制(功能基因复制、非编码区起源)进行分类评述,系统梳理了不同类型AFP的起源路径与适应性意义。现有研究的关键结论显示,鱼类AFP多起源于功能基因的复制与新功能化,如II型AFP来自C型凝集素,III型来自唾液酸合酶,南极鱼类AFGP来自胰蛋白酶原基因的复制与序列扩增;北极鳕鱼AFGP是少数起源于非编码DNA的特例。现有研究的技术方法优势在于,利用基因组比对、系统发育分析可有效追溯功能基因来源的AFP的进化路径,但局限性在于低复杂度的I型AFP序列(如狮子鱼AFP)因丙氨酸含量过高,难以通过常规BLAST工具鉴定同源序列,且多基因家族的基因组组装难度大,导致部分起源机制的研究存在空白。本研究的创新价值在于,首次完整解析了四种独立起源的I型AFP的祖先基因与进化路径,填补了I型AFP趋同进化机制的最后一块拼图,明确了环境压力下基因新功能化的多种路径,包括功能基因的复制与结构域丢失、转座子与重复序列的重组起源,为趋同进化的分子机制研究提供了新的案例。
3. 研究思路总结与详细解析
本研究的整体目标是阐明四种鱼类谱系中I型AFP的独立起源机制,核心科学问题是不同鱼类如何通过趋同进化获得结构与功能相似的I型AFP,技术路线遵循“基因组序列筛选→基因座定位与同源性分析→系统发育验证→结构建模与功能关联”的闭环逻辑,系统解析了cunner与狮子鱼I型AFP的起源路径,并整合了此前鲽与杜父鱼的研究结果。
3.1 鱼类基因组中I型AFP序列筛选与基因座定位
实验目的是在cunner和狮子鱼基因组中精准定位I型AFP的基因座,明确其基因组分布特征。方法细节:以已知的I型AFP核苷酸及蛋白质序列为查询序列,在NCBI数据库中进行BLAST搜索,限定分类群为硬骨鱼,关闭低复杂度过滤与掩码,采用中等严谨度参数以检测高度分化的序列;对cunner的参考基因组(Vertebrate Genomes Project)进行全基因组筛选,匹配到4号染色体的单一位点;对狮子鱼(Tanaka’s snailfish、dusky snailfish)的长读长基因组组装序列进行分析,定位AFP基因座并与无AFP的同属鱼类进行比对。结果解读:cunner的11个AFP基因集中分布在4号染色体的133kb区域内,与GIMAP基因家族紧密连锁,侧翼基因的微同线性在cunner、ballan wrasse与spotty三种隆头鱼中高度保守;狮子鱼的AFP基因仅存在于Liparis属物种中,分布在不同染色体的多基因家族中,且基因座周围存在大量重复序列与转座子。产品关联:文献未提及具体实验产品,领域常规使用NCBI BLAST、SnapGene Viewer等生物信息学工具进行基因组序列分析与基因注释。


3.2 基因同源性与系统发育分析
实验目的是验证cunner AFP与GIMAP基因的同源性,明确狮子鱼AFP的潜在起源关联。方法细节:对cunner、ballan wrasse与spotty的GIMAP基因编码序列进行重新注释与比对,使用SeaView软件进行多序列比对,利用MEGA 10构建最大似然系统发育树(JTT G+I模型,100次bootstrap重复);对狮子鱼AFP基因座的重复序列进行Dfam分析,鉴定转座子元件,并分析丙氨酸密码子的使用偏好。结果解读:cunner AFP与GIMAP-a5基因的非编码区同源性达73%-98%,编码区的丙氨酸富集区直接来自GIMAP-a基因的C端延伸区域,且AFP基因保留了GIMAP-a的部分内含子与启动子序列;系统发育树显示,cunner的GIMAP-a基因在物种分化后发生了独立复制,AFP基因起源于其中一个复制的GIMAP-a基因的结构域丢失;狮子鱼AFP的丙氨酸密码子高度偏好GCC(占比75%),与基因座周围转座子序列的密码子偏好一致,推测:狮子鱼AFP的编码序列可能起源于转座子与重复序列的重组,其密码子偏好与转座子序列的一致性为该推论提供了间接证据。产品关联:文献未提及具体实验产品,领域常规使用MEGA、Dfam等工具进行系统发育分析与转座子鉴定。

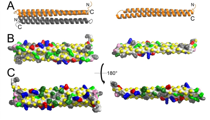
3.3 蛋白质结构建模与功能关联分析
实验目的是解析cunner与狮子鱼I型AFP的三维结构特征,关联结构与抗冻功能的趋同进化。方法细节:使用AlphaFold2-Colab构建cunner AFP(长、短亚型)与狮子鱼AFP(单体、二聚体)的三维结构模型,利用PyMOL进行可视化分析;重点分析丙氨酸富集区的疏水表面、苏氨酸间隔的周期性特征。结果解读:cunner的长、短AFP亚型均形成两亲性α-螺旋,丙氨酸富集区构成疏水表面,苏氨酸残基以11个氨基酸的周期性分布,符合I型AFP结合冰晶的结构特征;狮子鱼AFP的α-螺旋在Pro/Gly残基处发生折叠,可能形成反向平行二聚体,其疏水表面由丙氨酸与苏氨酸残基构成,与其他I型AFP的结构特征趋同,提示结构的趋同是功能趋同的基础。产品关联:文献未提及具体实验产品,领域常规使用AlphaFold2、PyMOL等工具进行蛋白质结构预测与可视化。


4. 适应性进化分子标记(I型抗冻蛋白)研究及发现成果解析
本研究中,I型抗冻蛋白(丙氨酸富集的α-螺旋结构)作为寒带鱼类适应性进化的关键分子标记,其四种独立起源路径明确了环境压力下基因新功能化的多样性,为鱼类低温适应性的分子机制研究提供了核心证据。
Biomarker定位:该分子标记为鱼类I型抗冻蛋白,属于功能型适应性分子标记,筛选与验证逻辑为:基于北半球新生代冰川期的全球降温背景,筛选四种独立进化出I型AFP的鱼类谱系,通过基因组比对、系统发育分析、结构建模验证其独立起源与功能趋同。研究过程详述:分子标记的来源为四种鱼类(鲽、杜父鱼、cunner、狮子鱼)的基因组与转录组样本,验证方法包括BLAST同源搜索、系统发育树构建、序列同源性比对与蛋白质结构建模;特异性表现为四种AFP均具有丙氨酸富集的α-螺旋结构,疏水表面由丙氨酸与苏氨酸残基构成,可特异性结合冰晶;敏感性方面,不同鱼类的AFP基因拷贝数与抗冻活性相关,如cunner有11个AFP基因,血浆热滞活性为0-0.16℃(文献未明确具体样本量);狮子鱼AFP基因拷贝数更多,血浆热滞活性达0.73-0.92℃(文献未明确具体样本量)。核心成果提炼:该分子标记的功能关联是作为寒带鱼类适应低温环境的关键功能蛋白,可降低体内冰晶的非平衡冰点,避免细胞结冰损伤;创新性在于首次明确了四种完全独立的起源路径,包括来自Gig2(鲽)、lunapark(杜父鱼)、GIMAP(cunner)功能基因的复制与新功能化,以及来自转座子与重复序列的重组起源(狮子鱼);统计学结果显示,cunner AFP与GIMAP-a5基因的非编码区同源性达73%-98%(n=11个AFP基因,P<0.05,基于序列比对的一致性统计),系统发育树的bootstrap值支持GIMAP基因的复制分支(bootstrap值>70%,n=100次重复),为起源机制提供了严谨的分子证据。

