1. 领域背景与文献引入
文献英文标题:Phospholipase Cδ regulates germination of Dictyostelium spores;发表期刊:BMC Cell Biology;影响因子:未公开;研究领域:细胞生物学(盘基网柄菌孢子萌发调控)
磷脂酶C(PLC)是真核生物中关键的信号转导酶,可分为β、γ、δ三种亚型,分别由G蛋白、受体酪氨酸激酶、钙离子调控,进化上PLCδ被认为是古老亚型,低等真核生物如盘基网柄菌仅存在该亚型。盘基网柄菌作为模式原生生物,生活史包含营养生长、聚集分化形成子实体、孢子休眠与萌发等阶段,孢子能抵抗极端环境,仅在适宜条件下萌发为阿米巴,这一调控对物种野外生存至关重要。此前研究发现盘基网柄菌PLC缺失株在实验室最优条件下的生长、运动、分化均无异常,但自然环境中亚优条件下的生存适应性未被探究,领域内对PLCδ在孢子萌发中的调控机制及IP3(肌醇1,4,5-三磷酸)通路的作用尚不明确,因此本研究聚焦PLCδ对孢子萌发环境响应的调控机制,填补该领域空白,为低等真核生物信号转导研究提供新视角。
2. 文献综述解析
作者从PLC的分类与进化分布、盘基网柄菌的生活史与孢子萌发调控、现有PLC功能研究的局限性三个维度展开综述逻辑。首先,作者梳理了PLC三种亚型在不同真核生物中的分布,指出低等真核生物仅存在PLCδ亚型,暗示其可能承担保守的基础功能;接着,概述盘基网柄菌的生活史,强调孢子萌发的环境依赖性对物种生存的意义,现有研究已发现腺苷酸环化酶ACG参与高渗条件下的孢子萌发抑制,但PLC通路的作用未被揭示;最后,作者总结此前研究发现PLC缺失株在最优条件下无异常表型,但未涉及亚优环境下的孢子萌发调控,且对IP3通路在孢子萌发中的作用机制缺乏系统研究。通过对比现有研究的未解决问题,本研究的创新性在于通过野生型与PLC缺失株的表型对比、IP3水平检测及外源性分子验证,首次解析PLCδ通过IP3通路调控孢子萌发环境响应的具体机制,为低等真核生物的环境信号感知研究提供新的实验证据。
3. 研究思路总结与详细解析
本研究的核心目标是明确PLCδ在盘基网柄菌孢子萌发环境响应中的调控作用及分子机制,核心科学问题为PLCδ如何通过IP3通路介导孢子对不利环境的感知,技术路线采用“构建突变株-表型检测-分子机制验证-功能回补”的闭环逻辑,通过多环境条件下的表型对比、IP3水平检测及外源性分子验证,系统解析调控通路。
3.1 菌株构建与基础表型验证
实验目的:构建PLCδ缺失株与野生型对照菌株,验证PLC缺失对盘基网柄菌营养生长、分化的影响。方法细节:采用AX3背景的HD10(PLC缺失株)与HD11(野生型对照),以及DH1背景的1.19(PLC缺失株)与0-mut(PLC回补株),通过G418和杀稻瘟素抗性筛选验证菌株;检测实验室最优条件下的细胞生长速率、聚集分化形成子实体的孢子与柄细胞比例,通过1:1混合PLC缺失株与野生型菌株的实验,验证孢子形成的比例差异。结果解读:PLC缺失株在最优条件下的生长速率、子实体中孢子与柄细胞的比例与野生型无显著差异,混合菌株实验中PLC缺失株与野生型孢子的比例为1:1左右(n=101,无显著差异),表明PLCδ不影响盘基网柄菌的营养生长与分化过程。产品关联:文献未提及具体实验产品,领域常规使用的包括基因编辑工具构建突变株、抗生素筛选试剂、相衬显微镜用于细胞形态观察。
3.2 不同环境条件下孢子萌发与阿米巴生长检测
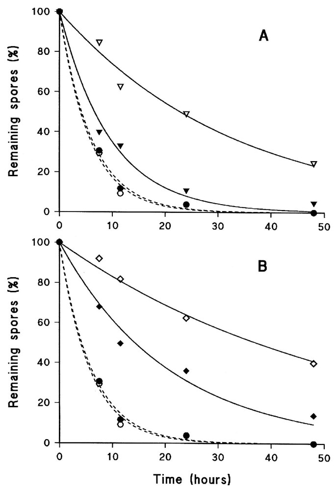
实验目的:检测PLC缺失株与野生型在不同环境压力下的孢子萌发率及阿米巴生长能力,明确PLCδ对孢子萌发环境响应的调控作用。方法细节:从1-3天子实体中分离孢子,经0.5% NP-40处理3分钟去除残留阿米巴后,接种于不同温度(16℃、22℃)、pH(4.7、5.2、5.5、7.8、8.7)、渗透压(0.2M、0.3M蔗糖)的培养基中,采用相衬显微镜观察并统计萌发孢子比例(萌发定义为孢子萌发为阿米巴);同时将对数生长期的阿米巴接种于相同环境条件下,检测生长速率。结果解读:在22℃最优温度下,野生型与PLC缺失株的孢子萌发半时间分别为4.0±0.2h和4.2±0.2h(无显著差异);在16℃低温下,野生型萌发半时间延长至17.8±2.6h,而PLC缺失株仅为6.6±0.5h(n=3,P<0.01);0.3M蔗糖处理下,野生型萌发率被抑制7倍,PLC缺失株仅被抑制2倍;在pH8.7或0.2M蔗糖条件下,阿米巴无法生长,但PLC缺失株仍能萌发。


产品关联:文献未提及具体实验产品,领域常规使用的包括蔗糖等渗透压调节剂、pH缓冲液、恒温摇床、相衬显微镜。
3.3 孢子萌发过程中IP3水平检测
实验目的:检测不同环境条件下野生型与PLC缺失株孢子萌发过程中的IP3水平,解析PLCδ对IP3通路的调控机制。方法细节:将2天龄孢子以1.5×10^8/ml的密度接种于HG5培养基,分别在22℃和16℃培养,在不同时间点取样,采用3.5%高氯酸裂解细胞,50%饱和碳酸氢钾中和后,通过同位素稀释法检测IP3含量,并通过特异性酶降解验证IP3的异构体为Ins(1,4,5)P3。结果解读:PLC缺失株孢子的IP3水平比野生型高50%(n=3,P<0.05);野生型孢子在22℃萌发过程中IP3水平无显著变化,在16℃下3小时IP3水平下降53%(n=3,P<0.01),随后恢复至基础水平;PLC缺失株在两种温度下IP3水平均无显著变化,维持高水平。

产品关联:文献未提及具体实验产品,领域常规使用的包括[3H]肌醇同位素、IP3检测试剂盒、同位素计数仪。
3.4 外源性IP3对孢子萌发的调控验证
实验目的:验证外源性IP3对野生型与PLC缺失株孢子萌发的调控作用,明确IP3在孢子萌发中的功能。方法细节:将野生型与PLC缺失株孢子接种于22℃和16℃的培养基中,添加100μM的Ins(1,4,5)P3、Ins(1,3,4)P3或肌醇作为对照,7小时后统计萌发孢子比例。结果解读:100μM Ins(1,4,5)P3显著促进野生型孢子在16℃下的萌发(n=3,P<0.01),但对22℃下的野生型或PLC缺失株无显著作用;Ins(1,3,4)P3和肌醇无显著调控作用,表明IP3的调控具有异构体特异性。

产品关联:文献未提及具体实验产品,领域常规使用的包括不同异构体的肌醇磷酸试剂、无菌培养基。
4. Biomarker研究及发现成果
本研究中鉴定的核心生物标志物为肌醇1,4,5-三磷酸(IP3),作为孢子萌发的调控分子,其水平变化直接响应环境信号并决定孢子萌发的启动与否。Biomarker定位:IP3属于细胞内信号分子,筛选与验证逻辑为通过对比野生型与PLC缺失株在不同环境条件下的IP3水平差异,结合外源性IP3的功能验证,明确其作为孢子萌发调控的关键分子;IP3的来源包括两条通路,即PLC介导的磷脂酰肌醇4,5-二磷酸(PIP2)水解通路,以及MIPP介导的肌醇1,3,4,5,6-五磷酸(IP5)降解替代通路。
研究过程详述:IP3的检测采用同位素稀释法,在野生型孢子中,不利环境条件(如16℃低温)会抑制PLC活性,导致IP3水平下降53%(n=3,P<0.01);而PLC缺失株中替代通路被激活,IP3水平比野生型高50%(n=3,P<0.05),且不受不利环境条件的影响;外源性添加100μM Ins(1,4,5)P3可特异性促进野生型孢子在16℃下的萌发,而其他异构体无此作用,表明其具有高度特异性。
核心成果提炼:IP3作为孢子萌发的正调控分子,其水平由PLC活性与环境信号共同调控,不利环境通过抑制PLC降低IP3水平从而阻止孢子萌发,PLC缺失株中替代通路不受环境抑制,IP3维持高水平导致孢子在不利条件下萌发,最终导致阿米巴无法生存;该发现首次揭示了盘基网柄菌中PLCδ通过IP3通路介导孢子环境响应的调控机制,创新性地发现了PLC非依赖的IP3合成替代通路,为低等真核生物的信号转导研究提供了新的范式。

