1. 领域背景与文献引入
文献英文标题:Integrated transcriptional profiling and genomic analyses reveal RPN2 and HMGB1 as promising biomarkers in colorectal cancer;发表期刊:Cell Bioscience;影响因子:未公开;研究领域:结直肠癌分子标志物与肿瘤进展
结直肠癌是全球第三大常见恶性肿瘤,TNM分期是临床制定治疗策略与预后预测的标准依据。其中I期患者术后治愈率可达90%,治疗方案已形成标准化体系,但II期结直肠癌具有高度异质性,约20-25%的患者术后会出现复发或转移,5年总生存率波动在58%-85%之间。现有研究已证实EGFR、MYC等癌基因过表达及TP53、APC等抑癌基因功能缺失与结直肠癌进展密切相关,靶向EGFR通路的治疗可改善部分晚期患者预后,TP53突变或APC表达缺失也可作为不良预后预测指标,但这些标志物无法有效区分II期结直肠癌的异质性,难以指导该阶段患者的个体化治疗。随着高通量测序技术的发展,不同研究鉴定的结直肠癌基因签名因技术平台、样本类型、分析工具的差异缺乏一致性,整合多组学数据与已发表研究的综合分析仍较为缺乏。基于此,本研究旨在通过整合配对样本转录组数据、TCGA数据库基因组信息及已发表微阵列研究,筛选出与II期结直肠癌恶性进展相关的基因标志物,为临床预后分层提供新靶点。
2. 文献综述解析
作者从技术平台、样本类型、分析工具三个维度对结直肠癌基因标志物的现有研究进行分类评述,系统梳理了不同研究的结论、优势与局限性。
现有研究已明确EGFR、MYC等癌基因过表达及TP53、APC等抑癌基因功能缺失与结直肠癌进展的关联,靶向EGFR通路的治疗可有效改善部分晚期患者预后,TP53突变或APC表达缺失也可作为不良预后的预测指标;这些研究的优势在于明确了核心癌基因与抑癌基因的功能及临床价值,为靶向治疗提供了依据,但局限性在于现有基因标志物无法有效区分II期结直肠癌的异质性,难以指导该阶段患者的个体化治疗。同时,不同研究通过基因表达谱、RT-PCR、测序等技术鉴定的结直肠癌基因签名存在较大差异,基因重叠度低,主要原因包括技术平台差异、样本类型选择不同、分析工具使用不一致,导致现有研究结论难以统一,缺乏整合多数据源的综合分析。针对这一研究空白,本研究采用整合分析策略,结合自身转录组数据、TCGA大样本基因组数据及50篇已发表微阵列研究,筛选出在多个数据集中一致的进展相关基因,其中RPN2和HMGB1在结直肠癌中的基因组改变频率显著高于其他8种主要实体瘤,且RPN2蛋白表达与结直肠癌临床病理特征密切相关,弥补了现有研究缺乏多数据源整合及II期特异性标志物的不足。
3. 研究思路总结与详细解析
本研究的核心目标是筛选与II期结直肠癌恶性进展相关的基因标志物,核心科学问题是解析参与II期结直肠癌进展的基因调控网络及潜在生物标志物,技术路线遵循“差异基因筛选→功能与调控网络分析→大样本数据库验证→多研究整合筛选→临床样本验证”的闭环逻辑,通过多组学数据与临床样本的结合,系统鉴定出结直肠癌进展相关的基因标志物。
3.1 配对样本转录组profiling与差异基因筛选
实验目的是筛选II期低分化结直肠癌组织中与正常黏膜组织相比差异表达的基因,明确II期结直肠癌的基因表达特征。方法细节为选取4例II期低分化结直肠癌患者的肿瘤组织及配对相邻正常黏膜组织,采用QIAGEN RNeasy Mini Kit提取总RNA,使用含440个癌基因、抑癌基因及信号通路相关基因的Oligo GEArray人类癌症微阵列检测mRNA表达水平,以β-肌动蛋白作为内参进行归一化,筛选差异倍数≥1.5且P<0.05的差异表达基因。结果解读:共鉴定出92个差异表达基因,无监督层次聚类分析可将肿瘤组织与正常组织清晰分为两个亚群,其中Cluster A为肿瘤组织中上调的基因,Cluster B为下调的基因,聚类结果直观反映了肿瘤与正常组织的基因表达差异。

实验所用关键产品:QIAGEN的RNeasy Mini Kit、Biosciences的Oligo GEArray Human Cancer Microarray(货号OHS-802SA)
3.2 差异基因功能注释与转录调控网络构建
实验目的是解析差异表达基因的功能通路及上游转录调控因子,明确II期结直肠癌的分子调控机制。方法细节为采用DAVID软件对差异基因进行基因本体(GO)生物过程注释,通过Ingenuity通路分析(IPA)鉴定富集的信号通路与上游调控因子,利用自主开发的生物信息学模型预测7个癌症相关转录因子(NFKB1、RelA、TP53、TP63、STAT3、MYC、AP1)的靶基因,并构建转录调控网络。结果解读:GO分析显示差异基因显著富集于凋亡、磷酸化、细胞增殖、结直肠癌转移等生物过程;IPA分析鉴定出6个富集的子网络,与NFKB、AP1、STAT3、TP53等信号通路相关,上游调控因子中TP53家族、NFKB、AP1、MYC等转录因子排名靠前;转录调控网络显示7个转录因子可共同调控多个靶基因,其中RPN2和HMGB1为NFKB1的靶基因,提示这些转录因子可能通过调控靶基因参与II期结直肠癌的进展。

文献未提及具体实验产品,领域常规使用DAVID、IPA等生物信息学分析软件
3.3 TCGA数据库基因组改变验证
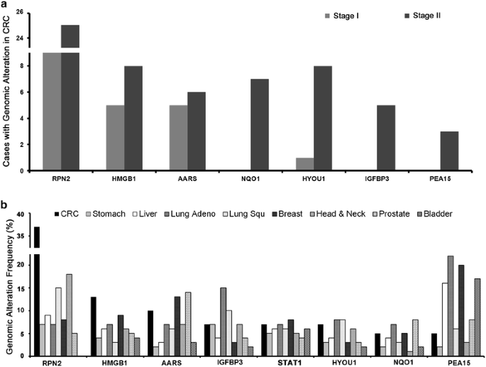
实验目的是验证差异表达基因在大样本结直肠癌中的基因组改变与表达一致性,明确基因改变的临床相关性。方法细节为从TCGA数据库提取195例I-IV期结直肠癌样本的mRNA表达、拷贝数变异(CNVs)及突变数据,分析本研究鉴定的92个差异基因的基因组改变频率,以及mRNA表达与CNVs的相关性。结果解读:24个基因的表达模式与TCGA数据一致,其中RPN2在37%的II/III期结直肠癌病例中存在基因组改变(包括基因扩增与mRNA上调),HMGB1在13%的病例中存在mRNA上调;14个基因的mRNA表达与CNVs显著相关,RPN2和HMGB1的拷贝数增益与mRNA表达呈正相关,提示拷贝数变异可能是其表达上调的重要机制。

文献未提及具体实验产品,领域常规使用TCGA数据库及cBio Cancer Genomics Portal分析工具
3.4 多数据集整合筛选进展相关候选基因
实验目的是筛选在多个研究中一致的结直肠癌进展相关基因,提高标志物的可靠性。方法细节为将本研究的差异基因与29个已发表的结直肠癌预后基因签名研究、50个结直肠癌微阵列研究进行对比,结合TCGA数据库的基因组改变数据,筛选重叠的基因。结果解读:最终筛选出8个候选基因(RPN2、HMGB1、AARS、IGFBP3、STAT1、HYOU1、NQO1、PEA15),这些基因在多个数据集及TCGA数据库中均存在一致的改变;进一步分析显示,RPN2和HMGB1在结直肠癌中的基因组改变频率显著高于其他8种主要实体瘤,提示其在结直肠癌中的特异性。

文献未提及具体实验产品,领域常规使用文献检索与生物信息学整合分析方法
3.5 免疫组化验证蛋白表达与临床病理特征的关联
实验目的是验证候选基因的蛋白表达与结直肠癌临床病理特征的关联,明确其临床应用价值。方法细节为对78例I-IV期结直肠癌样本进行免疫组化检测,使用RPN2、HMGB1、NFkB1的特异性抗体,由两位独立病理学家评估阳性染色细胞比例(≥10%细胞染色定义为阳性),采用Fisher精确检验分析蛋白表达与临床病理特征的相关性。结果解读:RPN2的蛋白阳性率在I/II期为29.5%,在III/IV期为51.4%,与肿瘤分期(P=0.047,n=78)、远处转移(P=0.0007,n=78)、低分化(P=0.015,n=78)显著相关;NFkB1的阳性率在III/IV期较高,但未达统计学显著性(P=0.055,n=78);HMGB1在90%的结直肠癌样本中呈阳性表达,但与临床病理特征无显著关联。

实验所用关键产品:Santa Cruz的RPN2抗体(货号sc-12165)、Cell Signaling的HMGB1抗体(货号#6893S)、Santa Cruz的NFkB1抗体(货号sc-1190)及相应二抗、ABC试剂盒
4. Biomarker研究及发现成果解析
本研究鉴定的潜在生物标志物为RPN2和HMGB1,筛选与验证逻辑为“配对II期结直肠癌样本转录组筛选→TCGA大样本基因组验证→多已发表研究整合确认→临床样本免疫组化验证”,完整覆盖了从分子水平到临床水平的验证过程。
Biomarker的来源为结直肠癌组织样本,RPN2的验证方法包括微阵列检测mRNA表达、TCGA数据库分析基因组改变与表达相关性、免疫组化检测蛋白表达;HMGB1的验证方法与RPN2一致。RPN2的蛋白表达在III/IV期结直肠癌中的阳性率显著高于I/II期,与远处转移、低分化显著相关(P值分别为0.0007、0.015,n=78),但文献未提供其ROC曲线的AUC值、敏感性与特异性数据;HMGB1在90%的结直肠癌样本中呈阳性表达,但与临床病理特征无显著关联,其mRNA表达与拷贝数增益显著相关(文献未提供具体相关性数据)。
核心成果提炼:RPN2可作为结直肠癌预后不良的潜在生物标志物,与肿瘤分期、分化程度、远处转移显著相关,提示其可用于II期结直肠癌患者的预后分层;首次发现RPN2和HMGB1在结直肠癌中的基因组改变频率显著高于其他8种主要实体瘤,且RPN2受NFKB1转录调控,为结直肠癌的分子机制研究提供了新方向;筛选出的8个候选基因扩展了结直肠癌的标志物库,为后续临床验证研究提供了基础;HMGB1在结直肠癌中普遍上调,但临床相关性需进一步大样本研究验证。
