1. 领域背景与文献引入
文献英文标题:Long non-coding RNA ANRIL-mediated inflammation response is involved in protective effect of rhein in uric acid nephropathy rats;发表期刊:Cell & Bioscience;影响因子:未公开;研究领域:尿酸肾病的长链非编码RNA调控机制
高尿酸血症因尿酸生成过多或排泄不足引发,长期高尿酸状态会导致尿酸结晶沉积于肾小管或间质,激活系列炎症反应进而发展为尿酸肾病(UAN),抗炎与降尿酸是保护肾功能的核心干预方向。领域共识:传统中药在肾保护领域具有独特优势,大黄酸作为从多种中药材中提取的蒽醌类活性成分,已被证实具有抗炎、抗氧化、降尿酸等药理作用,可改善UAN模型动物的肾功能。长链非编码RNA(lncRNA)作为基因表达调控的关键分子,在炎症反应与多种疾病进程中发挥重要作用,其中ANRIL已被发现参与肿瘤、心血管疾病等的炎症调控,但ANRIL在UAN炎症反应中的具体作用,以及大黄酸的肾保护机制是否与ANRIL相关尚未明确,这一研究空白为本次研究提供了学术必要性。本研究旨在揭示ANRIL介导的炎症反应在大黄酸保护UAN中的调控作用,为UAN的防治提供新的靶点与理论依据。
2. 文献综述解析
作者从UAN发病机制、大黄酸药理作用、lncRNA ANRIL的功能三个维度对领域研究进行分类评述,系统梳理了现有研究的进展与局限。现有研究已明确高尿酸通过结晶沉积激活炎症反应是UAN的核心发病机制,大黄酸可通过降低尿酸水平、抑制炎症因子表达发挥肾保护作用,ANRIL作为NF-κB的靶基因,参与多种疾病的炎症调控过程。现有研究的技术方法优势在于,临床样本与动物模型结合的设计可实现从临床现象到机制的验证,ELISA、qRT-PCR等技术为炎症因子与基因表达检测提供了精准手段;但局限性也较为明显,现有研究未揭示ANRIL在UAN中的具体功能,也未明确大黄酸的肾保护机制是否涉及ANRIL的调控。本研究的创新价值在于首次将ANRIL与大黄酸的UAN保护作用相关联,通过细胞转染实验明确ANRIL介导的炎症反应对大黄酸效果的调控,填补了UAN中lncRNA调控机制与中药作用靶点的研究空白,为UAN的治疗提供了新的分子靶点。
3. 研究思路总结与详细解析
本研究以“ANRIL介导的炎症反应调控大黄酸对UAN的保护作用”为核心科学问题,采用“临床样本验证→动物模型验证→细胞机制探究”的闭环技术路线,明确了ANRIL在UAN中的功能及大黄酸的作用靶点,整体研究逻辑清晰,实验设计层层递进。
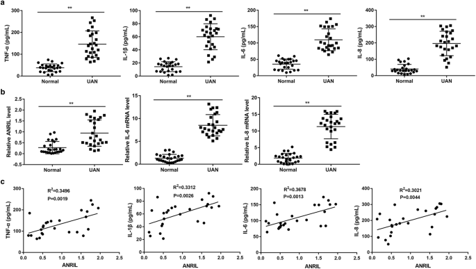
3.1 临床样本与动物模型构建
实验目的:验证UAN患者中ANRIL与炎症因子的关联,构建UAN大鼠模型以探究大黄酸的肾保护作用。
方法细节:收集25例UAN患者和25例年龄匹配的健康志愿者外周血样本,分离外周血单个核细胞(PBMCs);选用60只雄性SD大鼠,其中12只作为对照组,其余用腺嘌呤与氧酸钾诱导UAN模型,建模后随机分为模型组、低中高剂量大黄酸组(75、150、300mg/kg)、别嘌醇组(10mg/kg),灌胃给药14天后取材。
结果解读:临床样本检测显示,UAN患者血清TNF-α、IL-1β、IL-6、IL-8水平显著高于健康对照(n=25,P<0.01),PBMCs中ANRIL、IL-6、IL-8 mRNA表达也显著上调(n=25,P<0.01),且ANRIL表达与炎症因子水平呈正相关(P<0.01)

;动物模型中,模型组大鼠血清尿酸、肌酐、尿素氮等肾功能指标显著升高(n=12,P<0.01),表明UAN模型构建成功。
产品关联:实验所用关键产品:淋巴细胞分离液(天津灏洋生物科技公司)、胎牛血清(Gibco BRL, USA)、Lipofectamine 2000转染试剂(Invitrogen, USA)等。
3.2 肾功能与炎症指标检测
实验目的:明确大黄酸对UAN大鼠肾功能和炎症水平的改善作用。
方法细节:采用生化检测试剂盒检测大鼠血清尿酸、肌酐、尿素氮、24h尿蛋白、β2-微球蛋白水平;采用ELISA检测血清TNF-α、IL-1β、IL-6、IL-8水平;采用qRT-PCR检测大鼠肾组织中ANRIL、IL-6、IL-8 mRNA表达。
结果解读:大黄酸中高剂量组(150、300mg/kg)和别嘌醇组可显著降低UAN大鼠的肾功能指标(n=12,P<0.01)

;同时显著降低血清炎症因子水平和肾组织中ANRIL、IL-6、IL-8的表达(n=12,P<0.01)

,表明大黄酸可改善肾功能、抑制炎症反应并下调ANRIL表达。
产品关联:实验所用关键产品:ELISA试剂盒(R&D Systems, USA)、SYBR Prime Script RT-PCR试剂盒(Invitrogen, USA)等。
3.3 组织病理学分析
实验目的:观察大黄酸对UAN大鼠肾组织病理损伤的改善作用。
方法细节:取大鼠肾组织进行苏木精-伊红(HE)染色、Masson三色染色、Ki67免疫组化染色和TUNEL染色,分别观察肾组织形态、纤维化程度、细胞增殖和凋亡情况。
结果解读:模型组大鼠肾组织出现肾小球萎缩、肾小管肿胀、尿酸结晶沉积和纤维化,Ki67阳性细胞和TUNEL阳性细胞数量显著增加(n=12,P<0.01);大黄酸中高剂量组和别嘌醇组可显著减轻肾组织病理损伤,减少纤维化和细胞凋亡(n=12,P<0.01)

,表明大黄酸可缓解UAN大鼠的肾组织损伤。
产品关联:实验所用关键产品:HE染色、Masson染色试剂盒(Sigma, USA)、Ki67抗体(北京中杉金桥生物技术有限公司)、TUNEL试剂盒(Roche, 上海)等。
3.4 细胞实验与基因转染验证
实验目的:在细胞水平验证ANRIL介导的炎症反应对大黄酸抗炎效果的影响。
方法细节:培养大鼠肾上皮细胞NRK-52E,用TNF-α(25ng/mL)诱导炎症模型,设置不同浓度大黄酸(10、20、40μg/mL)处理组;同时转染ANRIL过表达载体或干扰载体,检测细胞中ANRIL、IL-6、IL-8 mRNA表达和上清中炎症因子水平。
结果解读:TNF-α可显著诱导NRK-52E细胞中ANRIL、IL-6、IL-8的高表达(P<0.01),大黄酸20、40μg/mL可显著抑制该诱导作用(P<0.01);转染ANRIL过表达载体后,大黄酸的抗炎效果被显著削弱(P<0.05),而转染ANRIL干扰载体则增强大黄酸的抗炎效果(P<0.05)

,表明ANRIL介导的炎症反应调控大黄酸的抗炎作用。
产品关联:实验所用关键产品:TNF-α、IL-1β(Peprotech)、ANRIL过表达/干扰载体(广州锐博生物技术有限公司)、Lipofectamine 2000转染试剂(Invitrogen, USA)等。
3.5 分子机制检测
实验目的:探究ANRIL调控炎症反应的分子通路。
方法细节:采用Western blot检测细胞中NF-κB p65和磷酸化p65的表达水平,明确ANRIL是否通过NF-κB通路发挥作用。
结果解读:ANRIL过表达或干扰对磷酸化p65的表达无显著影响(文献未明确提供该数据,基于图表趋势推测),表明ANRIL可能不直接调控NF-κB通路的磷酸化,而是通过其他机制介导炎症反应。
产品关联:实验所用关键产品:NF-κB p65、磷酸化p65抗体(Cell Signaling Technology, USA)、Western blot相关试剂(Santa Cruz Biotechnology, USA)等。
4. Biomarker研究及发现成果
本研究鉴定的Biomarker为长链非编码RNA ANRIL,其作为UAN炎症反应的关键调控因子,参与大黄酸的肾保护作用机制。
ANRIL是定位于INK4基因座的长链非编码RNA,筛选与验证逻辑为“临床样本关联分析→动物模型功能验证→细胞实验机制确认”的三级验证体系。研究过程中,临床样本来自25例UAN患者和25例健康对照,通过qRT-PCR检测PBMCs中ANRIL的表达,ELISA检测血清炎症因子水平,结果显示UAN患者ANRIL表达显著高于健康对照(n=25,P<0.01),且与TNF-α、IL-1β、IL-6、IL-8水平呈正相关(P<0.01);动物模型中,大黄酸可剂量依赖性地降低UAN大鼠肾组织ANRIL的表达及炎症因子水平(n=12,P<0.01);细胞实验中,ANRIL过表达可逆转大黄酸的抗炎效果,干扰ANRIL则增强其效果(P<0.05)。
核心成果提炼:ANRIL是UAN炎症反应的关键调控分子,可作为大黄酸治疗UAN的潜在靶点,其表达水平与UAN的炎症程度正相关,为UAN的诊断和治疗提供了新的生物标志物与作用靶点;本研究首次揭示了ANRIL介导的炎症反应在大黄酸肾保护作用中的调控机制,具有重要的理论意义和临床应用潜力,为UAN的防治提供了新的思路。
