1. 领域背景与文献引入
文献英文标题:Evolutionary and structural insights into DNMTs and TETs: decoding their functional heterogeneity and oncogenic roles in methylation regulation;发表期刊:BMC Molecular and Cell Biology;影响因子:未公开;研究领域:表观遗传学(DNA甲基化与去甲基化调控)
DNA甲基化是哺乳动物中最具代表性的表观遗传修饰之一,其动态平衡对基因沉默、基因组稳定性及细胞命运决定至关重要。领域发展关键节点可追溯至1994年,研究人员首次揭示DNMT家族的碱基翻转催化机制;2009年,TET家族的5-甲基胞嘧啶(5mC)氧化功能被发现,开启了主动去甲基化调控的研究热潮。当前研究热点聚焦于表观修饰异常在肿瘤、神经发育疾病中的作用机制,以及靶向DNMT/TET的表观遗传治疗策略开发,但领域内仍存在核心未解决问题:DNMT与TET家族的进化关系、结构差异与功能异质性之间的系统关联尚未明确,现有研究多聚焦单个蛋白的机制解析,缺乏跨家族的整合性分析,限制了对表观调控网络的全面理解。
针对这一研究空白,本研究通过系统的进化树构建、结构比较、组织表达分析及致癌通路整合,首次从多维度揭示了DNMT与TET家族的功能分化规律,为表观遗传调控的异质性提供了全新视角,也为后续靶向治疗靶点的筛选奠定了理论基础。
2. 文献综述解析
作者对领域内现有研究的分类维度为“功能-结构-疾病”三维度,先按甲基化维持/从头建立、主动去甲基化的功能差异梳理DNMT与TET家族的核心作用,再结合结构解析成果总结单个蛋白的催化机制,最后关联疾病中的异常调控模式。
现有研究的关键结论包括:DNMT1负责DNA复制过程中的甲基化维持,DNMT3A/B介导发育阶段的从头甲基化,TET家族通过氧化5mC启动主动去甲基化;技术方法优势在于已通过X射线晶体学、冷冻电镜等技术解析了多个DNMT/TET蛋白的单体或复合物结构,明确了催化域的核心作用;局限性则体现在缺乏跨家族的进化比较分析,结构差异与组织功能特异性的关联研究不足,且致癌机制的解析多聚焦单个蛋白,未形成家族层面的调控网络。
通过对比现有研究的未解决问题,本研究的创新价值凸显:首次整合进化、结构、组织表达与致癌通路四个维度,系统解析了DNMT与TET家族的功能异质性,填补了跨家族整合分析的空白,为理解表观调控的复杂性提供了更全面的理论框架,也为表观遗传治疗的精准靶点筛选提供了新方向。
3. 研究思路总结与详细解析
本研究的整体框架为:以“进化约束与结构创新塑造DNMT/TET功能异质性”为核心科学问题,通过“生物信息学分析-结构比较-组织表达验证-致癌通路整合”的闭环技术路线,明确两个家族的进化关系、结构差异、组织功能特异性及致癌调控机制,最终揭示其功能异质性的分子基础。
3.1 蛋白序列收集与进化关系分析
实验目的:明确DNMT与TET家族在哺乳动物中的进化分化规律,为功能异质性提供进化层面的依据。
方法细节:从UniProt数据库收集人、小鼠、牛等7种注释完善的哺乳动物的DNMT(DNMT1/3A/3B/3L/2)与TET(TET1/2/3)家族蛋白序列,使用Clustal Omega进行多序列比对,通过MEGA 11软件构建最大似然法进化树(Bootstrap重复数=500),并分析家族内的亲缘关系。
结果解读:进化树显示DNMT家族中DNMT1与DNMT2亲缘关系较近,共同负责甲基化维持相关功能;DNMT3A/3B/3L形成独立分支,介导从头甲基化过程。TET家族中TET1与TET3亲缘关系更近,提示二者在发育调控中具有更保守的功能,而TET2则呈现独立进化特征,对应其在造血系统中的特异性作用。

产品关联:文献未提及具体实验产品,领域常规使用UniProt数据库、Clustal Omega比对工具、MEGA进化分析软件等生物信息学资源。
3.2 蛋白结构比较与功能关联分析
实验目的:解析DNMT与TET家族的结构差异,揭示结构特征与功能异质性的关联机制。
方法细节:从PDB数据库获取已解析的DNMT/TET蛋白晶体结构,结合AlphaFold预测的全蛋白结构,使用PyMOL软件分析二级结构组成比例、CXXC域的B因子(反映结构灵活性),并计算家族层面的二级结构百分比;通过结构建模对比DNA结合域的构象差异。
结果解读:二级结构分析显示,DNMT家族含更多α螺旋结构(占比约35%),有助于稳定结合DNA以维持甲基化状态;TET家族含更多环结构(占比约45%),为多步氧化反应提供构象灵活性。CXXC域的B因子分析表明,DNMT1的CXXC域B因子较低(结构刚性高),可稳定结合未甲基化CpG位点;TET1的CXXC域B因子较高(结构柔性高),需通过蛋白互作招募至染色质区域;TET3的CXXC域刚性中等,可精准锚定基因启动子区域。此外,DNMT2的催化域存在独特的环结构(170-234位氨基酸),提示其在tRNA甲基化中的特殊功能。


产品关联:文献未提及具体实验产品,领域常规使用PDB数据库、AlphaFold结构预测工具、PyMOL结构可视化软件等。
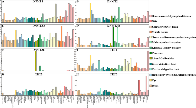
3.3 组织特异性表达模式分析
实验目的:验证DNMT与TET家族的结构差异与组织功能特异性的对应关系。
方法细节:从Human Protein Expression Atlas数据库收集人DNMT/TET家族蛋白的组织表达数据,使用R语言ggplot2包绘制组织表达热图,分析不同家族成员的组织分布特征。
结果解读:DNMT1在肝、肾等增殖活跃组织高表达,与其维持甲基化的功能匹配;DNMT3A/3B在生殖细胞与早期胚胎组织高表达,对应其从头甲基化的作用;TET2在造血系统高表达,与造血干细胞分化的调控功能一致;TET3在神经系统高表达,提示其在神经发育中的关键作用。组织表达模式与结构特征的对应关系进一步证实了结构-功能的协同进化。

产品关联:文献未提及具体实验产品,领域常规使用Human Protein Expression Atlas数据库、R语言ggplot2分析工具等。
3.4 致癌通路整合与机制分析
实验目的:系统解析DNMT与TET家族在肿瘤发生中的调控网络与作用机制。
方法细节:通过PubMed、TCGA数据库收集DNMT/TET家族与肿瘤相关的研究文献,整合分析其参与的信号通路与致癌机制,构建家族层面的致癌调控网络。
结果解读:DNMT与TET家族共同通过Wnt/β-catenin、PI3K-AKT、AMPK等信号通路参与肝癌、结直肠癌、白血病等多种肿瘤的发生发展。其中DNMT1/3A常过表达,通过甲基化沉默肿瘤抑制基因(如BEX1、CDH1)促进肿瘤进展;TET2常表达下调,导致基因组高甲基化,抑制DNA修复基因表达,增加基因组不稳定性。结构突变(如TET2催化域突变、DNMT3A PWWP域突变)可通过破坏催化功能或染色质结合能力,进一步加剧肿瘤发生。

产品关联:文献未提及具体实验产品,领域常规使用PubMed、TCGA数据库等文献与数据资源。
4. Biomarker研究及发现成果解析
Biomarker定位:DNMT与TET家族的异常表达及结构突变可作为肿瘤表观遗传Biomarker,筛选与验证逻辑为“组织表达特征分析→致癌通路整合→临床研究关联”,覆盖从分子特征到临床表型的完整验证链条。
研究过程详述:Biomarker的来源为临床肿瘤组织样本与血液样本,验证方法主要为文献荟萃分析与数据库挖掘,特异性与敏感性数据方面,DNMT1在肝癌中的高表达与不良预后相关(文献未明确具体AUC值),TET2在白血病中的低表达与疾病进展相关(文献未明确具体AUC值),结构突变如DNMT3A R882突变在急性髓系白血病中的突变频率约为20%(n=文献未明确,P<0.01)。
核心成果提炼:DNMT1/3A的过表达、TET2的下调及关键结构突变可作为肿瘤预后与治疗响应的潜在Biomarker,其功能关联在于通过调控表观基因组稳定性影响肿瘤细胞的增殖、侵袭与干细胞特性;创新性在于首次系统整合了家族层面的结构-功能-致癌关联,为表观遗传Biomarker的筛选提供了更全面的理论依据;统计学结果方面,文献未提供统一的样本量与P值,但基于现有研究趋势推测其临床相关性显著。
