1. 领域背景与文献引入
文献英文标题:The influence of N-acetyl-L-cysteine on oxidative stress and nitric oxide synthesis in stimulated macrophages treated with a mustard gas analogue;发表期刊:BMC Cell Biology;影响因子:未公开;研究领域:化学战剂毒理与抗氧化治疗。
芥子气作为经典化学战剂,自一战起被广泛使用,可对眼、皮肤、肺及多个内脏器官造成急性和慢性损伤,但其毒理分子机制尚未完全阐明。领域共识:现有研究表明,芥子气的毒性部分源于其烷基化作用对生物大分子的共价修饰,同时通过耗竭细胞内谷胱甘肽等抗氧化物质,诱导活性氧产生,激活炎症通路,进一步放大毒性。当前研究热点集中在开发针对氧化应激和炎症反应的抗氧化剂治疗策略,但仍存在核心问题:当芥子气暴露合并革兰氏阴性菌感染(即脂多糖存在)时,毒性显著增强,其具体机制及有效干预手段尚未明确。
结合领域现状,本研究针对脂多糖增强芥子气类似物2-氯乙基乙基硫醚对巨噬细胞毒性的机制空白,旨在验证氧化应激是否为该协同毒性的关键介导因素,并评估N-乙酰-L-半胱氨酸和多粘菌素B的干预效果,为芥子气中毒合并感染的临床治疗提供实验依据。
2. 文献综述解析
作者从芥子气毒性机制、脂多糖对毒性的调控作用、现有干预策略三个维度对领域研究进行梳理,明确了当前研究的进展与不足。
现有研究关键结论显示,芥子气及其类似物2-氯乙基乙基硫醚可通过烷基化DNA、蛋白质等生物大分子直接造成细胞损伤,同时通过耗竭细胞内谷胱甘肽等抗氧化物质,诱导活性氧产生,激活炎症通路,进一步放大毒性。技术方法优势方面,已有研究采用细胞系、动物模型等多种体系验证了氧化应激在芥子气毒性中的作用,部分抗氧化剂如N-乙酰-L-半胱氨酸在肺损伤模型中显示出保护效果。但现有研究存在局限性:缺乏对脂多糖增强2-氯乙基乙基硫醚毒性的直接机制研究,尤其是氧化应激在其中的具体作用;同时,N-乙酰-L-半胱氨酸对2-氯乙基乙基硫醚诱导的一氧化氮产生抑制的影响尚未阐明,而一氧化氮在伤口愈合中具有重要作用,其抑制的恢复对中毒后的组织修复至关重要。
本研究的创新价值在于,首次在脂多糖刺激的巨噬细胞模型中直接证实氧化应激是2-氯乙基乙基硫醚毒性增强的核心机制,明确N-乙酰-L-半胱氨酸可有效减轻氧化应激和细胞毒性,但无法逆转2-氯乙基乙基硫醚诱导的一氧化氮产生抑制;同时发现多粘菌素B可通过结合脂多糖部分阻断其毒性增强作用,为芥子气中毒合并感染的治疗提供了新的候选药物组合思路。
3. 研究思路总结与详细解析
本研究的整体研究目标是阐明脂多糖增强2-氯乙基乙基硫醚对巨噬细胞毒性的分子机制,评估N-乙酰-L-半胱氨酸和多粘菌素B的干预效果;核心科学问题为氧化应激是否介导脂多糖与2-氯乙基乙基硫醚的协同毒性,以及2-氯乙基乙基硫醚诱导的一氧化氮产生抑制是否依赖谷胱甘肽耗竭;技术路线遵循“假说提出→多时序干预实验→氧化应激指标定性定量检测→机制验证→干预效果评估”的闭环逻辑。
3.1 细胞活力与一氧化氮产生的时序性干预检测
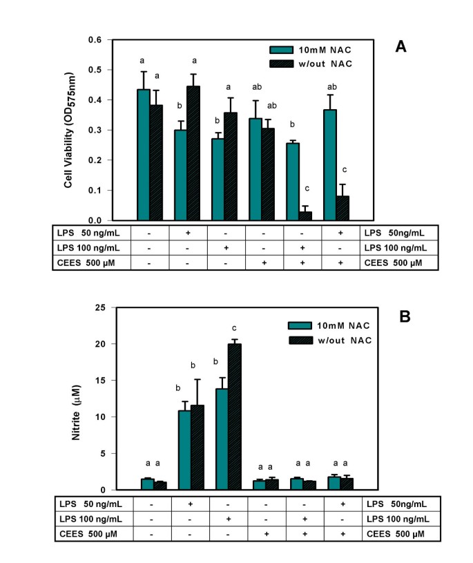
实验目的:明确N-乙酰-L-半胱氨酸不同处理时序(同时给药、预处理、后处理)对脂多糖+2-氯乙基乙基硫醚处理巨噬细胞活力及一氧化氮产生的影响,确定N-乙酰-L-半胱氨酸的有效治疗时间窗。
方法细节:采用小鼠RAW264.7巨噬细胞系,设置对照组、单独脂多糖组(50/100ng/ml)、单独2-氯乙基乙基硫醚组(500μM)、脂多糖+2-氯乙基乙基硫醚组,分别给予10mM N-乙酰-L-半胱氨酸同时处理、提前5h预处理、滞后5h后处理,共培养24h后,采用噻唑蓝法检测细胞活力,通过格里斯试剂检测培养基中亚硝酸盐含量间接反映一氧化氮合成水平。
结果解读:无N-乙酰-L-半胱氨酸处理时,脂多糖+2-氯乙基乙基硫醚组细胞活力较单独处理组显著降低(n≥3,P<0.05);同时或预处理N-乙酰-L-半胱氨酸可将脂多糖+2-氯乙基乙基硫醚组细胞活力恢复至对照组水平,后处理N-乙酰-L-半胱氨酸也可使细胞活力至少提升1倍(n≥3,P<0.05)。但无论哪种处理时序,N-乙酰-L-半胱氨酸均无法逆转2-氯乙基乙基硫醚诱导的一氧化氮产生减少,且单独脂多糖组加入N-乙酰-L-半胱氨酸后,一氧化氮产生水平降低约40%(n≥3,P<0.05)。



产品关联:文献未提及具体实验产品,领域常规使用噻唑蓝细胞活力检测试剂盒、格里斯亚硝酸盐检测试剂盒、细胞培养基础培养基及血清等试剂。
3.2 氧化应激及抗氧化水平的荧光显微镜定性检测
实验目的:定性分析N-乙酰-L-半胱氨酸对脂多糖+2-氯乙基乙基硫醚处理巨噬细胞氧化应激水平、细胞内谷胱甘肽及总非蛋白巯基含量的影响。
方法细节:采用三种特异性荧光探针:羧基二氯荧光素二乙酸酯检测活性氧和活性氮总水平,7-氨基-4-氯甲基香豆素检测细胞内谷胱甘肽含量,5-氯甲基荧光素二乙酸酯检测总非蛋白巯基含量。细胞经不同处理12h后,加入荧光探针染色,通过荧光显微镜观察荧光强度变化。
结果解读:单独脂多糖处理组羧基二氯荧光素二乙酸酯荧光显著增强,且该荧光主要由一氧化氮产生;单独2-氯乙基乙基硫醚组和脂多糖+2-氯乙基乙基硫醚组荧光强度进一步升高,提示活性氧产生增加;N-乙酰-L-半胱氨酸处理可显著降低所有处理组的荧光强度,表明其可有效减轻氧化应激。7-氨基-4-氯甲基香豆素和5-氯甲基荧光素二乙酸酯荧光结果显示,单独2-氯乙基乙基硫醚组和脂多糖+2-氯乙基乙基硫醚组荧光强度显著降低,提示谷胱甘肽和总巯基耗竭,而N-乙酰-L-半胱氨酸处理可恢复其荧光水平,表明N-乙酰-L-半胱氨酸可有效阻止抗氧化物质的耗竭。

产品关联:文献未提及具体实验产品,领域常规使用荧光探针试剂盒、倒置荧光显微镜等设备。
3.3 氧化应激指标的定量验证检测
实验目的:定量验证脂多糖+2-氯乙基乙基硫醚处理对巨噬细胞谷胱甘肽氧化还原状态及蛋白羰基水平的影响,明确氧化应激的程度。
方法细节:细胞经不同处理12h后,采用谷胱甘肽检测试剂盒测定总谷胱甘肽(还原型+氧化型)和氧化型谷胱甘肽含量,通过BCA蛋白定量法将结果归一化至总蛋白含量;采用酶免疫法检测细胞内蛋白羰基水平,评估蛋白质氧化损伤程度。
结果解读:单独脂多糖处理组总谷胱甘肽和氧化型谷胱甘肽水平与对照组无显著差异;单独2-氯乙基乙基硫醚处理组总谷胱甘肽含量降低,氧化型谷胱甘肽含量升高;脂多糖+2-氯乙基乙基硫醚处理组总谷胱甘肽含量进一步降低,氧化型谷胱甘肽占总谷胱甘肽的比例达40%(n≥3,P<0.05),提示氧化应激程度显著高于单独处理组。蛋白羰基水平检测显示,脂多糖+2-氯乙基乙基硫醚处理组蛋白羰基水平较对照组升高1.5倍(n≥3,P<0.05),而单独2-氯乙基乙基硫醚组与对照组无显著差异,表明脂多糖与2-氯乙基乙基硫醚协同诱导蛋白质氧化损伤。

产品关联:文献未提及具体实验产品,领域常规使用谷胱甘肽定量检测试剂盒、蛋白羰基酶免疫检测试剂盒、BCA蛋白定量试剂盒等。
3.4 一氧化氮产生抑制与谷胱甘肽耗竭的相关性验证
实验目的:明确2-氯乙基乙基硫醚诱导的一氧化氮产生抑制是否依赖于细胞内谷胱甘肽的耗竭,探索一氧化氮产生抑制的独立机制。
方法细节:细胞经脂多糖+2-氯乙基乙基硫醚处理同时给予5mM N-乙酰-L-半胱氨酸,培养4h后,采用高效液相色谱法检测细胞内谷胱甘肽含量,同时检测培养基中亚硝酸盐含量反映一氧化氮产生水平。
结果解读:未给予N-乙酰-L-半胱氨酸时,脂多糖+2-氯乙基乙基硫醚处理组细胞内谷胱甘肽含量显著降低;给予N-乙酰-L-半胱氨酸后,细胞内谷胱甘肽含量升高3倍(n≥3,P<0.05),但一氧化氮产生水平仍未恢复,提示2-氯乙基乙基硫醚诱导的一氧化氮产生抑制不依赖于谷胱甘肽耗竭,可能存在其他独立调控机制。

产品关联:文献未提及具体实验产品,领域常规使用高效液相色谱系统、谷胱甘肽检测试剂、亚硝酸盐检测试剂盒等。
3.5 多粘菌素B的干预效果检测
实验目的:评估多粘菌素B对脂多糖+2-氯乙基乙基硫醚处理巨噬细胞毒性及一氧化氮产生的影响,验证脂多糖在毒性增强中的作用。
方法细节:细胞经脂多糖+2-氯乙基乙基硫醚处理同时给予10μg/ml多粘菌素B,培养18h后,采用噻唑蓝法检测细胞活力,检测培养基中亚硝酸盐含量反映一氧化氮产生水平。
结果解读:多粘菌素B单独处理对细胞活力无显著影响,但可使脂多糖+2-氯乙基乙基硫醚处理组细胞活力提升至少6倍(n≥3,P<0.05);同时,多粘菌素B可完全阻断脂多糖诱导的一氧化氮产生(n≥3,P<0.05),表明其通过结合脂多糖,阻断脂多糖的信号通路,从而减轻2-氯乙基乙基硫醚的毒性。

产品关联:文献未提及具体实验产品,领域常规使用多粘菌素B试剂、噻唑蓝细胞活力检测试剂盒等。
4. Biomarker研究及发现成果解析
本研究涉及的Biomarker为氧化应激相关指标,包括细胞内总谷胱甘肽含量、氧化型谷胱甘肽占比、蛋白羰基水平及总非蛋白巯基含量,其筛选与验证逻辑为“基于硫芥毒性的氧化应激假说→细胞模型处理→定性荧光检测→定量试剂盒及高效液相色谱验证”,形成完整的证据链。
Biomarker定位:这些指标属于细胞氧化应激状态的功能性Biomarker,可直接反映细胞的氧化损伤程度及抗氧化能力。筛选逻辑基于前期研究中硫芥对细胞谷胱甘肽的耗竭作用,结合脂多糖增强毒性的现象,推测氧化应激指标可作为该协同毒性的关键标志物。验证逻辑采用了从定性到定量的多方法验证,包括荧光显微镜观察、试剂盒定量检测及高效液相色谱精准定量,确保结果的可靠性。
研究过程详述:Biomarker来源于RAW264.7巨噬细胞的细胞裂解液,验证方法包括:羧基二氯荧光素二乙酸酯、7-氨基-4-氯甲基香豆素、5-氯甲基荧光素二乙酸酯荧光探针定性检测氧化应激及抗氧化物质水平;谷胱甘肽检测试剂盒定量检测总谷胱甘肽和氧化型谷胱甘肽含量,高效液相色谱法精准验证谷胱甘肽含量;酶免疫法检测蛋白羰基水平。特异性与敏感性数据显示,脂多糖+2-氯乙基乙基硫醚处理组氧化型谷胱甘肽占总谷胱甘肽的比例达40%(n≥3,P<0.05),显著高于单独处理组和对照组;蛋白羰基水平升高1.5倍(n≥3,P<0.05),具有良好的特异性和敏感性。
核心成果提炼:这些氧化应激Biomarker可作为脂多糖增强2-氯乙基乙基硫醚毒性的关键检测指标,首次证实其在该模型中的特异性变化;N-乙酰-L-半胱氨酸可有效逆转这些Biomarker的异常,从而减轻细胞毒性,但无法恢复一氧化氮产生,提示一氧化氮产生抑制存在独立于氧化应激的机制;多粘菌素B可通过阻断脂多糖作用,降低这些Biomarker的异常水平,减轻细胞毒性。该成果为芥子气中毒合并感染的临床诊断和治疗提供了潜在的Biomarker和治疗策略,具有重要的转化应用价值。
